Evaluation of the frequency of consumption of various groups of dairy products by students of the Peoples’ Friendship University of Russia
- 作者: Khanferyan R.A.1, Radysh I.V.2, Semin D.A.2, Geyko E.G.2, Korosteleva M.M.1,3
-
隶属关系:
- Peoples' Friendship University of Russia
- Peoples’ Friendship University of Russia
- Federal Research Center of Nutrition and Biotechnology
- 期: 卷 4, 编号 2 (2023)
- 页面: 66-74
- 栏目: Original Study Articles
- ##submission.dateSubmitted##: 22.05.2023
- ##submission.dateAccepted##: 10.07.2023
- ##submission.datePublished##: 11.08.2023
- URL: https://journals.eco-vector.com/2658-4433/article/view/451252
- DOI: https://doi.org/10.17816/clinutr451252
- ID: 451252
如何引用文章
全文:
详细
BACKGROUND: Milk and dairy products are an important component of a balanced diet. Milk and dairy products deficiency contributes to the violation of the main health indicators of various age groups of the population.
AIM: The purpose of this study was to analyze the frequency of consumption of various groups of dairy products by students.
MATERIALS AND METHODS: 388 full-time students of the Medical Institute of the Peoples’ Friendship University of Russia took part in the cross-sectional study. Of all the participants, 185 were men and 203 were women; the average age was (20.4±2.2) and (21.9±1.7) years, respectively. Anthropometric measurements were performed according to the standard program. The frequency of consumption of various groups of dairy products was studied using a modified questionnaire on the frequency of consumption of products.
RESULTS: analysis of the questionnaire on the frequency of consumption of products demonstrated that approximately 14% of the respondents did not consume milk over the past month, about a third — cottage cheese, 21% — natural sour-milk products and 16% — sour-milk products with various fillers. Hard cheeses and pickled cheeses are absent from daily food rations of 7% and 20% of respondents, respectively. Daily consumption was recorded as follows: milk — 24% of respondents; cottage cheese — 5%; fermented milk products (natural and with flavored) — 9% and 8%, respectively; hard cheese — 18%. The study also revealed gender differences in the characteristics of consumer preferences: women are less likely to consume cream, sour cream, soft cheese and milk. Among female students, the prevalence of overweight individuals was higher and amounted to 25% (n=50), while among male students — 19% (n=35). A modest inverse relationship was found between daily milk intake and body weight, as well as between milk intake and body mass index (r=–0.61 and r=–0.65, respectively).
CONCLUSIONS: our study revealed insufficient consumption of milk and dairy products among students. The relationship between the frequency of their consumption and indicators of physical development was noted.
全文:
ОБОСНОВАНИЕ
Молоко и молочные продукты являются богатым источником белка, минералов, витаминов и других биологически активных компонентов, жизненно важных для оптимального роста и развития организма.
Согласно определению, представленному в техническом регламенте Таможенного союза «О безопасности молока и молочной продукции» (ТР ТС 033/2013), к молочной продукции относятся:
- молочные продукты;
- молочные составные продукты;
- молокосодержащие продукты (в том числе с заменителем молочного жира);
- побочные продукты переработки молока;
- продукция детского питания на молочной основе, включая:
- — адаптированные или частично адаптированные начальные или последующие молочные смеси (в том числе сухие);
- — сухие кисломолочные смеси;
- — молочные напитки (в том числе сухие) для питания детей раннего возраста;
- — молочные каши (готовые к употреблению или восстанавливаемые до готовности в домашних условиях питьевой водой) для питания детей раннего возраста.
Среди пищевых белков протеины сыворотки молока рассматриваются как значительный источник биологически активных пептидов — эти специфические белковые фрагменты (длиной примерно от 2 до 20 аминокислот) оказывают положительное влияние на функции организма и в конечном итоге благотворно влияют на здоровье человека [1]. Биологически активные пептиды обладают способностью воздействовать на сердечно-сосудистую, пищеварительную, иммунную, эндокринную и нервную системы, а также проявлять различную функциональную активность (антигипертензивную, антимикробную, антитромботическую, иммуномодулирующую, антиоксидантную). Более 60% молочного жира в молочных продуктах представлено насыщенными жирными кислотами; тем не менее результаты исследований свидетельствуют о потенциальной пользе потребления молока для здоровья, в том числе — о снижении индекса массы тела (ИМТ) и окружности талии, снижении риска возникновения гипертонии и сахарного диабета II типа, улучшении гликемического ответа [2, 3].
E.L. Feeney и соавт. [4] установили, что при высоком уровне потребления молочных продуктов наблюдается более низкий ИМТ, достоверно значимо снижается содержание жировой массы в организме, уменьшается окружность талии и отношение измерений талии и бёдер. При этом более высокий уровень потребления молока снижает как систолическое, так и диастолическое давление. Анализируя уровень потребления молока и ряда молочных продуктов, авторы данного исследования разделили всех участников на три группы в зависимости от основного типа молочного продукта в рационе:
- «цельное молоко»;
- «молоко с пониженным содержанием жира и йогурт»;
- «сливочное масло и сливки».
Участники исследования из группы «молоко с пониженным содержанием жира и йогурт» имели самые высокие показатели по индексу здорового питания, а также более низкий уровень потребления жиров и насыщенных жиров, но более высокие концентрации триглицеридов (p=0,028) и общего холестерина (p=0,015). Вероятно, эти результаты изучения липидного профиля связаны с другими факторами (потреблением других групп продуктов, наличием заболеваний и генетическими особенностями метаболизма). В данном исследовании также показано, что более частое потребление сыра было связано с более высоким содержанием С-пептида в сыворотке крови [4].
Однако в другом обзоре литературы [5] установлено, что потребление молочных продуктов (независимо от содержания жира) не оказывает отрицательного влияния на антропометрические показатели, уровень липидов в крови и артериальное давление. Вместе с тем, как обезжиренные, так и жиросодержащие молочные продукты могут одновременно ухудшать гликемический контроль. Потребление йогурта по сравнению с молоком в большей степени снижает такие показатели, как окружность талии и концентрация триглицеридов, холестерина и липопротеидов высокой плотности.
Таким образом, исследование частоты потребления молока и молочных продуктов, а также поиск возможных закономерностей между пищевыми привычками и показателями пищевого статуса представляются актуальными для анализа состояния здоровья практически всех категорий населения.
В представленном исследовании анализируется частота фактического потребления различных групп молочных продуктов студентами медицинского института Российского университета дружбы народов имени Патриса Лумумбы (РУДН), а также возможная связь их потребления с некоторыми антропометрическими показателями студентов.
ЦЕЛЬ
Цель исследования — анализ частоты потребления различных групп молочных продуктов студентами.
МАТЕРИАЛЫ И МЕТОДЫ
В поперечном исследовании приняли участие 388 студентов очной формы обучения РУДН. Из них 185 участников были мужского пола и 203 участника — женского пола; средний возраст (20,4±2,2) и (21,9±1,7) года соответственно. Частоту потребления различных групп молочных продуктов изучали с помощью модифицированной анкеты частотного потребления продуктов. Изучались такие категории, как:
- молоко (коровье);
- творог;
- сливки;
- натуральные кисломолочные продукты (ряженка, кефир, йогурт);
- кисломолочные продукты с наполнителями;
- сыры полутвёрдые и твёрдые;
- сыры мягкие;
- сметана;
Частота потребления оценивалась в терминах:
- «ни разу»
- «1–3 раза в месяц»
- «1 раз в неделю»
- «2–4 раза в неделю»
- «5–6 раз в неделю»
- «1 раз в день»
- «2–3 раза в день»
- «4–5 раз в день»
- «6 и более раз в день».
Анкетирование проводили специально отобранные и обученные волонтёры, перед опросом респондентам был проведён вводный инструктаж. Размер порций оценивался со слов опрашиваемых с использованием альбома с традиционными продуктами и порциями с установленной массой/объёмом. Статистическую обработку данных осуществляли с помощью IBM SPSS v. 20.0 для Windows (IBM, Соединённые Штаты Америки).
Все участники подписали информированное согласие на участие в опросе.
РЕЗУЛЬТАТЫ
Данные, собранные при анализе анкет частотного потребления продуктов, представлены в табл. 1 и рис. 1.
Рис. 1. Частота потребления различных групп молочных продуктов за прошедший месяц (% от числа обследованных).
Fig. 1. Frequency of consumption of different groups of dairy products over the past month (% from the number of surveyed).
Таблица 1. Частота потребления молока и молочных продуктов за прошедший месяц (% от числа обследованных)
Table 1. Frequency of consumption of different groups of dairy products over the past month (% from the number of surveyed)
Частота потребления продуктов | Молоко | Творог | Сливки | Кисломолочные продукты натуральные | Кисломолочные продукты с наполнителями | Сыр твёрдый | Сыр мягкий | Сметана |
Ни разу | 14% | 27% | 56% | 21% | 16% | 7% | 20% | 25% |
1–3 раза в месяц | 16% | 30% | 27% | 24% | 25% | 14% | 25% | 18% |
1 раз в неделю | 13% | 23% | 11% | 23% | 25% | 22% | 22% | 17% |
2–4 раза в неделю | 19% | 13% | 3% | 16% | 20% | 26% | 15% | 23% |
5–6 раз в неделю | 14% | 2% | 1% | 7% | 6% | 13% | 9% | 7% |
1 раз в день | 12% | 4% | 1% | 6% | 5% | 11% | 5% | 5% |
2–3 раза в день | 10% | 0% | 0% | 3% | 2% | 6% | 3% | 4% |
4–5 раз в день | 1% | 1% | 1% | 0% | 1% | 1% | 1% | 1% |
6 и более раз в день | 1% | 0% | 0% | 0% | 0% | 0% | 0% | 0% |
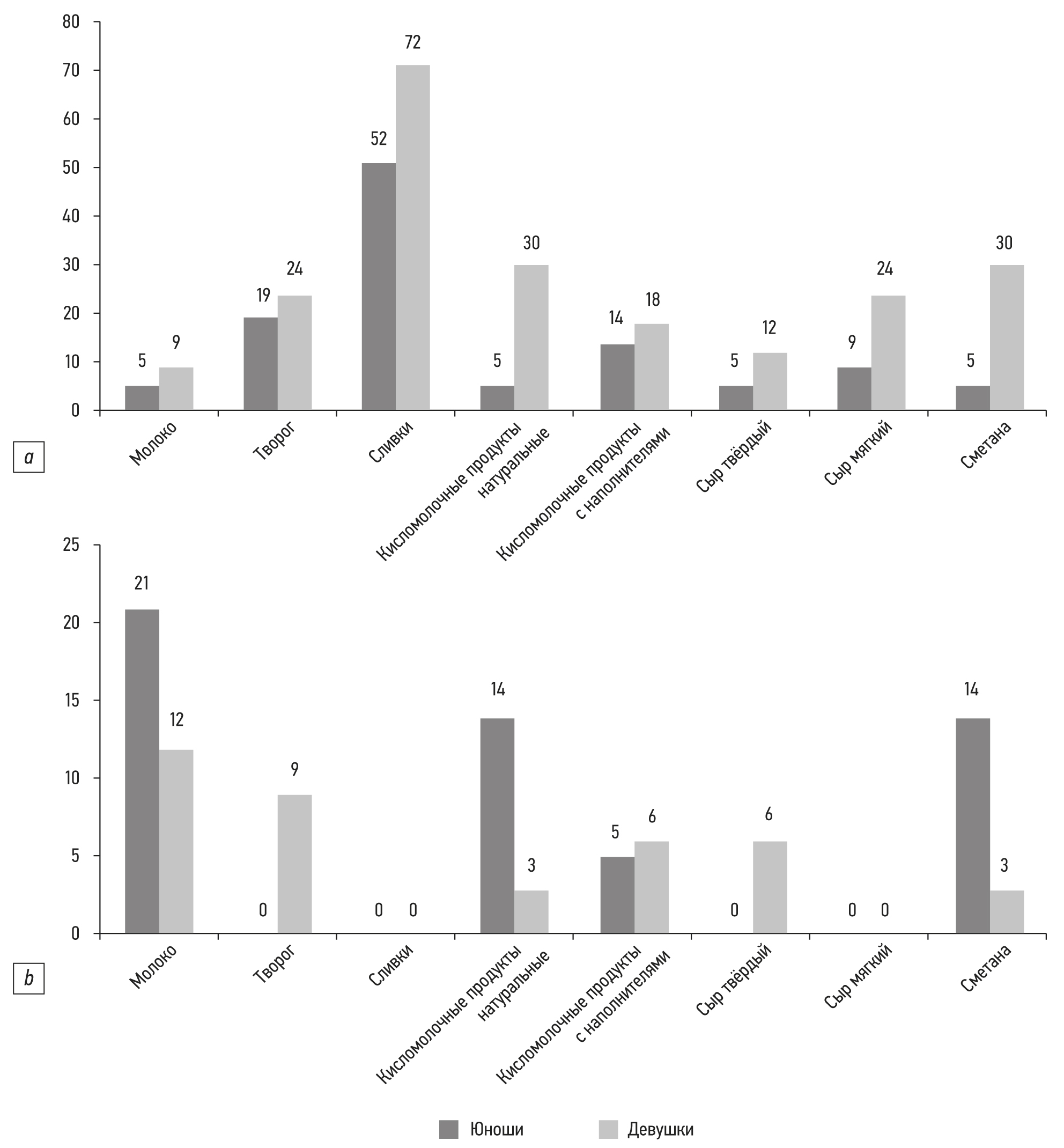
Кроме того, выявлены гендерные особенности потребления определённых групп продуктов (рис. 2). В целом, юноши чаще употребляли на ежедневной основе молоко, сметану и натуральные кисломолочные продукты, тогда как девушки ежедневно употребляли больше кисломолочных продуктов с наполнителями, творога и твёрдого сыра.
Таблица 2. Антропометрические показатели обследованных студентов
Table 2. Anthropometric indicators of the examined students
Показатель | Юноши | Девушки |
Возраст, лет | 21,9±1,7 | 20,4±2,2 |
Длина тела, см | 175±6,1*, р=0,01 | 168,5±8,1 |
Масса тела, кг | 71,8±7,9*, р=0,04 | 62,4±7,0 |
ИМТ, кг/м2 | 22,8±1,9 | 21,9±2,2 |
Обхват талии, см | 73,4±5,6 | 66,0±5,0 |
Обхват бёдер, см | 98,7±6,7 | 90,3±9,2 |
* различия достоверны между группами.
* differences are significant between groups.
Рис. 2. Гендерные особенности распределения частотного потребления различных групп молочных продуктов (% от числа обследованных): a — продукты отсутствовали в рационе за прошедший месяц; b — продукты входили в ежедневный рацион.
Fig. 2. Gender characteristics of the distribution of frequency consumption of various groups of dairy products (% of the number surveyed): a — products were absent in the diet over the past month; b — products were included in the daily diet.
Была изучена взаимосвязь между пищевыми привычками (в том числе частотой потребления молока и молочных продуктов) и некоторыми параметрами физического развития студентов. Результаты изучения антропометрических показателей представлены в табл. 2. При анализе полученных данных выявлены значимые различия по показателям длины и массы тела для юношей и девушек, что соответствует особенностям физического развития представителей разного пола.
В результате расчёта ИМТ у всех участников исследования было выявлено 85 студентов (22%) с ИМТ более 24,9 кг/м2, что соответствует данным литературы и результатам наших ранее опубликованных исследований [6–9]. Распределение юношей и девушек по показателю ИМТ представлено на рис. 3. При этом среди девушек распространённость лиц с избыточной массой тела была выше и составила 25% (50 студенток), тогда как среди юношей избыточная масса тела была установлена у 19% (35 студентов). Среди юношей не было отмечено студентов со сниженной массой тела, однако доля девушек с ИМТ менее 18 кг/м2 находилась на уровне 5% (10 человек).
Рис. 3. Распределение юношей и девушек по показателю индекса массы тела (%).
Fig. 3. Distribution of male and female students in terms of body mass index (%).
Кроме того, была выявлена обратная умеренная связь между ежедневным употреблением молока и массой тела, а также между употреблением молока и ИМТ (r=-0,61и r=-0,65 соответственно).
ОБСУЖДЕНИЕ
Очевидно, что низкая распространённость потребления молока как одного из базовых продуктов рациона связана с несколькими факторами:
- низкой осведомлённостью о принципах оптимального питания;
- популярным среди молодёжи направлением замены данного продукта на растительные аналоги;
- недостаточными финансовыми возможностями для регулярного употребления относительно дорогих молочных продуктов (творога, сыров);
- отсутствием возможностей для хранения скоропортящихся продуктов в условиях проживания в общежитии.
Кроме того, временное исключение из рациона продуктов животного происхождения может быть связано с соблюдением религиозных постов.
Известно, что потребление пищевых белков может влиять на секрецию гормонов и расход энергии путём усиления термогенеза, клеточного метаболизма и гомеостатической регуляции потребления пищи на уровне гипоталамуса. Анализ данных литературы указывает на способность некоторых пептидов влиять на уровень глюкозы плазмы крови. Представляется актуальным использование гидролизованных сывороточных белков в качестве ингредиентов функциональных пищевых продуктов, действие которых направлено на контроль аппетита и массы тела, а также на регуляцию потребления энергии и гомеостаз глюкозы.
Различные механизмы, направленные на подавление аппетита и контроль массы тела, включают воздействие продуктов пищеварения на центральную и периферическую нервные системы, а также на эндокринную систему. Высвобождение пептидов и аминокислот при переваривании пищевых белков усиливает секрецию гормонов из энтероэндокринных клеток желудочно-кишечного тракта, что способствует дальнейшему снижению потребления пищи и контролю постпрандиальной гликемии [2, 4, 10].
Например, пептид β-казоморфин-7 представляет интерес благодаря своей структуре, биологической активности и устойчивости к деградации в желудочно-кишечном тракте. Он известен как агонист опиодных рецепторов. Взаимодействие с опиоидными рецепторами в кишечнике опосредует задержку кишечного транзита. Установлено, что β-казоморфин-7 увеличивает высвобождение соматостатина из эндокринных клеток слизистой оболочки кишечника. Соматостатин, в свою очередь, играет основную роль в регуляции эндокринной и экзокринной секреции, в частности способствует снижению секреции желудочной кислоты и моторики желудка, а также ингибирует секрецию многочисленных желудочно-кишечных и панкреатических гормонов [10].
Гликомакропептид — это крупный κ-казеиновый пептид. В исследованиях, проведённых на лабораторных животных, было установлено, что гликомакропептид изменяет состав кишечного микробиома, способствуя росту бифидобактерий и лактобактерий, которые усиливают секрецию гормонов сытости — пептидов YY, GLP-1, CCK [11].
Wheylin-1 представляет собой анксиолитический дипептид, он увеличивает чувствительность к инсулину in vivo у мышей, а также увеличивает фосфорилирование киназы Akt в гепатоцитах и клетках скелетных мышц in vivo и in vitro. Фосфорилирование Akt играет главную роль во внутриклеточном сигнальном пути, опосредуя метаболические эффекты инсулина, проявляющиеся в результате движения вниз по сигнальному каскаду от рецептора инсулина [12].
Необходимо внедрять в образовательный процесс программы, направленные на формирование представлений о принципах сбалансированного питания и о роли основных групп продуктов в поддержании оптимального пищевого статуса человека. В нашем исследовании для подгруппы девушек с ИМТ менее 18 кг/м2 было характерно нерегулярное потребление всех включённых в анкету продуктов. Кроме того (по сравнению как с девушками с более высокими показателями ИМТ, так и с юношами), они уделяли большее внимание массовой доли жира и чаще выбирали обезжиренные продукты без наполнителей и добавленного сахара, а также отказывались от употребления сыров, сливок и сметаны. Вероятно, дефицит массы тела может быть связан с пищевыми привычками, в частности редким потреблением молока и молочных продуктов с традиционной жирностью (не обезжиренных). Необходимо отметить, что полное исключение или резкое сокращение поступления продуктов-источников жиров может привести к снижению успеваемости и концентрации внимания, а также к нарушениям эндокринной системы и дисбалансу гормонов.
ЗАКЛЮЧЕНИЕ
Среди студентов медицинского института РУДН выявлено недостаточное потребления молока и молочных продуктов. Дефицит этих продуктов в рационе может вызывать снижение минеральной плотности костей, что особенно важно для молодых женщин репродуктивного возраста. Установлены гендерные различия в особенностях потребительских предпочтений: девушки реже употребляют сливки, сметану, мягкий сыр и молоко — что, очевидно, можно связать с повышенным вниманием к поддержанию низкой массы тела и к контролю количества жиров в рационе. Выявлена взаимосвязь между пищевыми привычками и некоторыми показателями физического развития опрошенных. Крайне важным представляется повышение уровня осведомлённости о принципах сбалансированного питания путём внедрения соответствующих образовательных программ.
ДОПОЛНИТЕЛЬНО
Источник финансирования. Авторы заявляют об отсутствии внешнего финансирования при проведении исследования.
Конфликт интересов. Авторы декларируют отсутствие явных и потенциальных конфликтов интересов, связанных с публикацией настоящей статьи.
Вклад авторов. Все авторы подтверждают соответствие своего авторства международным критериям ICMJE (все авторы внесли существенный вклад в разработку концепции, проведение исследования и подготовку статьи, прочли и одобрили финальную версию перед публикацией). Наибольший вклад распределён следующим образом: И.В. Радыш — концепция и дизайн исследования; Д.А. Семин — сбор и обработка материалов, статистическая обработка данных; Е.Г. Гейко — сбор и обработка материалов; М.М. Коростелева — сбор и обработка данных, написание статьи; Р.А. Ханферьян — концепция и дизайн исследования, анализ полученных данных, написание текста.
ADDITIONAL INFORMATION
Funding source. This study was not supported by any external sources of funding.
Competing interests. The authors declare that they have no competing interests.
Authors’ contribution. All authors made a substantial contribution to the conception of the work, acquisition, analysis, interpretation of data for the work, drafting and revising the work, final approval of the version to be published and agree to be accountable for all aspects of the work. I.V. Radysh — concept and design of the study; D.A. Semin — collection and processing of materials, statistical processing of data; E.G. Geiko — collection and processing of materials; M.M. Korosteleva — data collection and processing, article writing; R.A. Khanferyan — the concept and design of the study, analysis of the data obtained, writing the text.
作者简介
Roman Khanferyan
Peoples' Friendship University of Russia
编辑信件的主要联系方式.
Email: khanfer1949@gmail.com
ORCID iD: 0000-0003-1178-7534
SPIN 代码: 1091-8405
Scopus 作者 ID: 6506324595
Researcher ID: I-9371-2012
MD, Dr. Sci. (Med.), Professor, Department of immunology of Medicinal Institute
俄罗斯联邦, 6 Miklukho-Maclay st, 117198Ivan Radysh
Peoples’ Friendship University of Russia
Email: radysh-iv@rudn.ru
ORCID iD: 0000-0003-0939-6411
MD, Professor, First Deputy-Deputy Director of the PFUR Medical Institute for Academic Affairs, Head of the Department of Management of nursing activities, PFUR
俄罗斯联邦, 6 Miklukho-Maclay st, 117198Dmitry Semin
Peoples’ Friendship University of Russia
Email: semin-da@rudn.ru
ORCID iD: 0000-0002-0583-7315
ассистент кафедры управления сестринской деятельностью
俄罗斯联邦, 6 Miklukho-Maclay st, 117198Elena Geyko
Peoples’ Friendship University of Russia
Email: geyko-eg@rudn.ru
ORCID iD: 0000-0002-4175-4867
SPIN 代码: 1734-1940
ассистент кафедры сестринской деятельностью
俄罗斯联邦, 6 Miklukho-Maclay st, 117198Margarita Korosteleva
Peoples' Friendship University of Russia; Federal Research Center of Nutrition and Biotechnology
Email: korostel@bk.ru
ORCID iD: 0000-0002-2279-648X
SPIN 代码: 5276-9459
MD, Cand. Sci. (Med.), Assistant Professor
俄罗斯联邦, 6 Miklukho-Maclay st, 117198; Moscow参考
- Vasconcelos Q.D.J.S., Bachur T.P.R., Aragão G.F. Whey protein supplementation and its potentially adverse effects on health: a systematic review. Appl Physiol Nutr Metab. 2021;46(1): 27–33. doi: 10.1139/apnm-2020-0370
- McGovern C, Rifas-Shiman SL, Switkowski KM, et al. Association of cow’s milk intake in early childhood with adiposity and cardiometabolic risk in early adolescence. Am J Clin Nutr. 2022;116(2):561–571. doi: 10.1093/ajcn/nqac103
- Gao R, Rapin N, Elnajmi AM, et al. Skim milk as a recovery beverage after exercise is superior to a sports drink for reducing next-day postprandial blood glucose and increasing postprandial fat oxidation. Nutr Res. 2020;82:58–66. doi: 10.1016/j.nutres.2020.08.007
- Feeney EL, O’Sullivan A, Nugent AP, et al. Patterns of dairy food intake, body composition and markers of metabolic health in Ireland: results from the National Adult Nutrition Survey. Nutrition & Diabetes. 2017;7(2):e243. doi: 10.1038/nutd.2016.54
- Kiesswetter E, Stadelmaier J, Petropoulou M, et al. Effects of Dairy Intake on Markers of Cardiometabolic Health in Adults: A Systematic Review with Network Meta-Analysis. Advances in nutrition. 2023;14(3):438–450. doi: 10.1016/j.advnut.2023.03.004
- Matosyan KA, Oranskaya AN, Pustovalov DA, et al. Adipose tissue composition in puberty and postpuberty according to age, sex (gender), physical activity and alimentary behavior. Problems of nutrition. 2015;84(5):88–94. (In Russ) doi: 10.24411/0042-8833-2018-10016
- Evstratova VS, Radzhabkadiev RM, Khanferyan RA. The structure of macronutrient consumption by the population of various regions of Russian Federation. Problems of nutrition. 2018;87(2):34–38. (In Russ) doi: 10.24411/0042-8833-2018-10016
- Kobelkova IV, Korosteleva MM, Kobelkova MS. Izmenenie pishchevykh privychek, urovnya fizicheskoi aktivnosti i ikh vliyanie na massu tela v period pandemii. Vserossiiskaya mezhdistsiplinarnaya nauchno-prakticheskaya konferentsiya «Sotsial’no-znachimye i osobo opasnye infektsionnye zabolevaniya»; 2021 Oct 26–29; Sochi. Available from: https://elibrary.ru/item.asp?id=47266798 (In Russ)
- Tutel’yan VA, Baturin AK, Kon’ IYa, et al. Rasprostranennost’ ozhireniya i izbytochnoi massy tela sredi detskogo naseleniya RF: mul’titsentrovoe issledovanie. Pediatrics. Journal named after G.N. Speransky. 2014;93(5):28–31. (In Russ)
- Aslam H, Ruusunen A, Berk M, et al. Unr Е-mail:avelled facets of milk derived opioid peptides: a focus on gut physiology, fractures and obesity. International Journal of Food Sciences and Nutrition. 2020;1(1):36–49. doi: 10.1080/09637486.2019.1614540
- Foisy Sauvé M, Spahis S, Delvin E, Levy E. Glycomacropeptide: A Bioactive Milk Derivative to Alleviate Metabolic Syndrome Outcomes. Antioxidants & Redox Signaling. 2020;34(3):201–222. doi: 10.1089/ars.2019.7994
- Ogiwara M, Ota W, Mizushige T, Kanamoto R, Ohinata K. Enzymatic digest of whey protein and wheylin-1, a dipeptide released in the digest, increase insulin sensitivity in an Akt phosphorylation-dependent manner. Food Funct. 2018;9(9):4635–4641. doi: 10.1039/c8fo00919h.
补充文件






