Magnetic properties and electric polarization at heterogeneous substitution in bismuth pyrostannate Bi2 (Sn0,9Ме0,1)2O7, Ме = Cr3+, Fe3+
- Authors: Udod L.V.1, Sitnikov M.N.2, Abdelbaki H.3, Romanova O.B.3
-
Affiliations:
- Kirensky Institute of Physics, Federal Research Center KSC SB RAS
- Kirensky Institute of Physics, Federal Research Center KSC SB RA
- Reshetnev Siberian State University of Science and Technology
- Issue: Vol 23, No 3 (2022)
- Pages: 561-571
- Section: Section 3. Technological Processes and Materials
- Published: 26.09.2022
- URL: https://journals.eco-vector.com/2712-8970/article/view/562831
- DOI: https://doi.org/10.31772/2712-8970-2022-23-3-561-571
- ID: 562831
Cite item
Full Text
Abstract
Bismuth pyrostannate Bi2Sn2O7 is a diamagnet and belongs to the structural type of the A2B2O7 pyrochlore class. In this class of compounds, in the presence of magnetic ions, very interesting magnetic properties appear. Chromium- and iron-substituted bismuth pyrostannates Bi2(Sn0.9Me0.1)2O7, Me = Cr, and Fe were synthesized by solid-phase synthesis. X-ray diffraction analysis showed that the samples correspond to the Pc monoclinic cell of the Bi2Sn2O7 α-phase at room temperature. The magnetic properties up to 1100 K in magnetic fields up to 0.86 T and the electric polarization at frequencies of 10, 3, and 1 mHz in the temperature range 80–550 K have been studied. The effect of heterogeneous substitution by Cr3+ and Fe3+ ions on the magnetic properties and electric polarization of bismuth pyrostannate is investigated. An analysis of the experimental data revealed the dependence of the magnetic properties on the degree of filling of the electron shells of chromium and iron ions. The Bi2(Sn0.9Cr0.1)2O7 compound exhibits ferromagnetic properties, while Bi2(Sn0.9Fe0.1)2O7 exhibits antiferromagnetic properties. In chromium-substituted bismuth pyrostannate during the α→β transition, the paramagnetic Curie temperature increases by a factor of 3. The temperature dependence of the inverse magnetic susceptibility is characterized by hysteresis in the temperature range of 400–900 K. The reverse magnetic susceptibility of Bi2(Sn0.9Fe0.1)2O7 in the entire temperature range is satisfactorily described by the Curie-Weiss law. Studies of the magnetic properties have established that the Fe3+ ions are in a high-spin state. The polarization hysteresis in Bi2(Sn0.9Cr0.1)2O7 is found, which shifts along the polarization axis and depends on temperature. Bi2(Sn1-xFex)2O7, x=0.1 is characterized by a linear field dependence. With an increase in the concentration of iron ions, a hysteresis arises in the field dependence of the electric polarization. The hysteresis of polarization in Bi2(Sn0.9Cr0.1)2O7 which depends on temperature was found. The nonlinear field dependence of the polarization in Bi2(Sn0.8Fe0.2)2O7 can be explained by the interaction of the dipole and migration polarizations and the presence of oxygen vacancies. For the Bi2(Sn0.9Cr0.1)2O7 compound, a transition to the dipole glass state was found. In the β-phase of Bi2(Sn0.8Fe0.2)2O7 above T = 400 K, no polarization hysteresis is observed and the electron-relaxation polarization predominates. The mechanism of the occurrence of electronic polarization is explained with the appearance of anionic vacancies upon heterogeneous substitution of tin ions.
Full Text
Введение*
Материалы, используемые в современных электронных устройствах, должны обладать одновременно сегнетоэлектрическими, ферромагнитными или антиферромагнитными свойствами. К таким материалам относятся сложные оксиды, имеющие в своем составе ионы железа. В них проявляется магнитоэлектрический эффект и свойства мультиферроиков [1–5]. Магниторезистивные эффекты, возникающие в результате взаимодействия магнитной подсистемы со спинами электронов проводимости, исследовались в рамках s-d модели и модели взаимодействия орбитальных магнитных моментов со спиновыми на основе сульфидов марганца. Магнитосопротивление может быть обусловлено спин-орбитальным взаимодействием в топологических изоляторах [6–11].
Сочетание магнитных и электрических свойств, характерное для мультиферроиков, показывают соединения на основе структурного типа пирохлора А2В2О7. Этим материалам присущи как спонтанная намагниченность, магнитострикция, спонтанная поляризация и пьезоэлектрический эффект, так и магнитоэлектрический эффект (индуцированная магнитным полем электрическая поляризация и индуцированная электрическим полем намагниченность), а также эффект магнитоэлектрического контроля (переключение спонтанной поляризации магнитным полем и спонтанной намагниченности электрическим полем). Магнитоэлектрические эффекты могут быть обусловлены как магнитоупругим взаимодействием [12], так и в результате эффекта Максвелла–Вагнера [13–14]. Катионы А и В в структуре пирохлора А2В2О7 образуют подрешетку связанных углами тетраэдров, что может приводить к интенсивной фрустрации магнитного взаимодействия и низкотемпературным свойствам [15]. В Cd2Ti2O7 сильные фрустрации приводят к разупорядоченному состоянию спинов ниже температуры Кюри–Вейсса ТCW ≈ 10 К. Фрустрированные обменные взаимодействия могут привести к уменьшению намагниченности [16–17] и к образованию спинового стекла [18–19]. Переход в упорядоченную фазу, обусловлен диполь-дипольным взаимодействием при Т ≈ 1 К [20]. Отсутствие полного упорядочения сопровождается полным разрушением дальнего порядка и образованием парамагнитного состояния типа спиновой жидкости [21–26]. Это вызывает магнитокалорический эффект, востребованный в криотехнике.
Катионное окружение в кристаллической структуре пирохлоров делает невозможным антиферромагнитное взаимодействие между катионами одноосных направлений [27]. По-видимому, по этой причине многие пирохлоры характеризуются отсутствием дальнего магнитного порядка. Как правило, сложные оксиды со структурой пирохлора демонстрируют спин-стекольное состояние. Однако такие соединения могут быть и ферромагнитными, например Ln2V2O7 (Ln = Lu, Yb, Tm) [28]. Марганецсодержащие пирохлоры обнаруживают сложную зависимость магнитных характеристик от природы А-катиона. Так, если в А-позиции находятся Sc, Y, Lu, то соединения характеризуются спин-стекольным поведением и проявляют полупроводниковые свойства [29], а Tl2Mn2O7 и In2Mn2O7 – ферромагнетики [30]. Пиростаннат висмута Bi2(Sn1–хMnх)2O7, х = 0,05 и 0,1, проявляет антиферромагнитные свойства. С увеличением концентрации Mn4+ наблюдается увеличение антиферромагнитного обмена.
В кристаллической структуре пиростанната висмута Bi2Sn2O7 отсутствуют магнитные ионы. Замещая ионы Sn4+ 3d элементами, можно получить новые соединения, относящиеся к мультиферроикам. Изовалентное замещение ионами Mn4+ привело к антиферромагнитизму. При гетеровалентном замещении ионами Cr3+ и Fe3+ будут наблюдаться искажения кислородных октаэдров, что приведет к возникновению спонтанной поляризации и магнитного порядка. Различная степень заполнения электронных оболочек ионов (Cr3+1s22s22p63s23p64s03d3 и Fe3+1s22s22p63s23p64s23d3) отразится на магнитных и электрических свойствах.
Цель работы: установить влияние гетерогенного замещения ионами Cr3+ и Fe3+ на возникновение магнитного порядка и поляризации в пиростаннате висмута Bi2Sn2O7.
Методика эксперимента
Синтез пиростанната висмута, замещенного 3d-элементами Bi2(Sn0,9Ме0,1)2O7, Ме = Cr и Fe, выполнен методом многоступенчатого твердофазного синтеза. Рентгеноструктурные данные говорят, что синтезированные образцы соответствуют моноклинной ячейке Pc в α-фазе Bi2Sn2O7 при комнатной температуре [31–35]. Кристаллическая структура Bi2Sn2O7 содержит 32 иона Bi3+, 32 иона Sn4+ и 112 ионов O2− в независимой части ячейки (рис. 1). Все ионы Bi3+ имеют в ближайшем окружении восемь ионов O2− и формируют искаженные кубы, а Sn4+ окружены шестью ионами O2− и формируют октаэдры, которые соединяются между собой вершинами. Замещая ионы Sn4+, ионы Cr3+ и Fe3+ создают дефекты в кислородном октаэдре SnО6 (вставка на рис. 1).
Рис. 1. Кристаллическая структура Bi2Sn2O7. Отдельно показаны дефектный кислородный октаэдр SnO6 с замещением ионами Fe3+ и полиэдр BiO8
Fig. 1. Crystal structure of Bi2Sn2O7. The defect oxygen octahedron SnO6 substituted by Fe3+ ions and the polyhedron BiO8 are shown separately
Магнитные свойства Bi2(Sn0,9Ме0,1)2O7, Ме = Cr и Fe изучены на высокотемпературной установке методом Фарадея в интервале температур до 1100 K и магнитных полей до 0,86 Т. Полевые зависимости электрической поляризации исследованы квазистатическим методом на частотах 10,3 и 1 mHz в интервале температур 80–550 К. Проведены два цикла измерений на образцах, на которые нанесены контакты из серебра, между контактами и образцом находится лак для предотвращения токов утечки.
1. Магнитная восприимчивость
Температурная зависимость магнитной восприимчивости для Bi2(Sn0,9Cr0,1)2O7 представлена на рис. 2, а. Величина обратной магнитной восприимчивости меняет наклон (вставка рис. 2, а) при переходе из α→β фазу при Т = 370 К. Парамагнитная температура Кюри возрастает в 3 раза. Так, для α-фазы θα = 50 K в интервале 150 < T < 300 K, а β-фазы θβ = 150 K при T > 400 K. Температурная зависимость 1/χ характеризуется гистерезисом в районе температур 400–900 К, соответствующим границам существования β-фазы.
Рис. 2. Температурная зависимость магнитной восприимчивости Bi2(Sn0,9Ме0,1)2O7: a – Me = Cr; б – Me = Fe. На вставках приведены температурные зависимости обратной восприимчивости
Fig. 2. The temperature dependence of the magnetic susceptibility of Bi2(Sn0,9Me0,1)2O7: a – Me = Cr; b – Me = Fe. The insets show the temperature dependences of the reciprocal susceptibilities
Магнитная восприимчивость в магнитном поле 600 Ое для Bi2(Sn0.9Fe0.1)2O7 проявляет парамагнитный характер и представлена на рис. 2, б. На вставке (рис. 2, б) показана температурная зависимость обратной магнитной восприимчивости, которая во всей температурной области удовлетворительно описывается законом Кюри – Вейсса 1/χ = (T – q) / C, где c – магнитная восприимчивость, q – парамагнитная температура Кюри, С – постоянная Кюри. Величина парамагнитной температуры имеет отрицательное значение Θ = –10 К. Используя формулу
μeff = (8C / n)1/2, (1)
был определен эффективный магнитный момент Fe3+. Здесь C – постоянная Кюри; NA – постоянная Авогадро; n – количество ионов железа в Bi2(Sn0,9Fe0,1)2O7. Эффективный магнитный момент Fe3+ вычислен по уравнению (1) и равен μeff = 5,76μB. В пиростаннате висмута ионы Fe3+ находятся в высокоспиновом состоянии [35]. В соответствии с уравнением
µS = g(S(S + 1)µB)1/2, (2)
где S – спин Fe3+ = 5/2; g – фактор = 2, теоретическое значение эффективного магнитного момента μS = 5,92μB. Используя полученные экспериментальные данные магнитных характеристик, по формуле (2) рассчитан g – фактор для Bi2(Sn0,9Fe0,1)2O7, g = 1,95.
Экспериментальные данные показывают различное влияние замещающих ионов на магнитное обменное взаимодействие Bi2Sn2O7. Соединение Bi2(Sn0,9Cr0,1)2O7 проявляет ферромагнитные свойства, а Bi2(Sn0,9Fe0,1)2O7 – антиферромагнитные. Такое различие связано с различной степенью заполнения электронных оболочек, у Cr3+ 4s0, а Fe3+ 4s2.
2. Поляризация
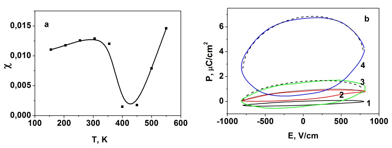
Электрическая поляризация Bi2(Sn0,9Cr0,1)2O7 линейно растет во внешнем электрическом поле, наблюдается гистерезис малой величины в a-фазе. При циклировании ширина гистерезиса линейно растет с ростом числа циклов. Полевые зависимости поляризации Bi2(Sn0,9Cr0,1)2O7 для температур выше 400 К представлены на рис. 3, б. Диэлектрическая восприимчивость χ = P/ε0E, определенная в электрическом поле 800 V/cm, увеличивается при нагревании в a-фазе и обнаруживает максимум в области температуры перехода в состояние дипольного стекла (рис. 3, а). Для дипольных стекол характерен широкий максимум восприимчивости в области «замерзания» дипольных моментов и необратимое поведение восприимчивости при нагревании и охлаждении в электрическом поле.
Рис. 3. Температурная зависимость диэлектрической восприимчивости Bi2(Sn0,9Cr0,1)2O7 (а); полевая зависимость поляризации Bi2(Sn0,9Cr0,1)2O7 (б). Кривая 1 соответствует Т = 400 К с серебряными контактами, 2 – Т = 400 К, 3 – Т = 450 К, 4 – Т = 500 К. 2, 3, 4 – лаковые контакты
Fig. 3. Temperature dependence of the dielectric susceptibility of Bi2(Sn0.9Cr0.1)2O7 (a). The field dependence of the polarization of Bi2(Sn0.9Cr0.1)2O7 (b). Curve 1 corresponds to T = 400 K with silver contacts, 2 – T = 400 K, 3 – T = 450 K, 4 – T = 500 K. 2, 3, 4 – varnish contacts
Соединение Bi2(Sn1–хFeх)2O7 (х = 0,1) проявляет параэлектрические свойства, поляризация линейна до Т = 300 К и соответствует закону P = ε0 χE, где ε0 – диэлектрическая проницаемость; χ – восприимчивость; E – электрическое поле. С увеличением концентрации ионов железа, х = 0,2, пиростаннат висмута показывает симметричные петли гистерезиса во внешнем электрическом поле.
На рис. 4 показаны полевые зависимости поляризации при различных температурах в магнитном поле 12 kOe для Bi2(Sn1–хFeх)2O7, х = 0,2. На вставке (рис. 4) приведена полевая зависимость поляризации в магнитном поле Н = 0 и 12 kOe при Т = 160 К. Выше комнатной температуры электрическая поляризация возрастает в результате появления дополнительного вклада в виде миграционной электронной поляризации.
Делокализация дырок в α-фазе в окрестности замещающих ионов приводит к диффузии и накоплению заряда в ловушках на междукристаллических доменных границах. Под действием внешнего электрического поля носители тока диффундируют к поверхности домена и локализуются в ловушках. В результате межкристаллические границы становятся заряженными, что приводит к гистерезису поляризации и росту ширины петли гистерезиса. Образование заряженных границ и частичное экранирование приводит к неравномерному распределению потенциала по объему образца. В результате перестройки кристаллической структуры меняется плотность дефектов, например, понижается концентрация кислородных вакансий [37; 38] и индуцируется объемный заряд в образце.
Рис. 4. Полевая зависимость поляризации Bi2(Sn0,8Fe0,2)2O7 в магнитном поле Н = 12 kOe при различных температурах. Кривая 1 соответствует Т = 120 К, 2 – 160 К, 3 – 200 К, 4 – 280 К.
На вставке приведена полевая зависимость при Т = 160 К. Сплошная линия соответствует Н = 12 kOe, пунктирная – Н = 0
Fig. 4. Field dependence of the polarization of Bi2(Sn0.8Fe0.2)2O7 in a magnetic field H = 12 kOe at different temperatures. Curve 1 corresponds to Т = 120 K, 2 – 160 K, 3 – 200 K, 4 – 280 K. The inset shows the field dependence of the polarization at Т = 160 K. The solid line corresponds to Н = 12 kOe, the dashed line corresponds to Н = 0
В β-фазе выше Т = 400 К преобладает электронно-релаксационная поляризация. Этот вид поляризации характерен для твердых диэлектриков, содержащих дефекты или примесные ионы, способные захватывать электроны с образованием ловушек. Во внешнем электрическом поле будут происходить переходы ловушек в направлении поля и возникает электрическая поляризация. Наиболее вероятный механизм электронной поляризации связан с возникновением анионных вакансий при гетерогенном замещении ионов олова. Кислородные вакансии являются эквивалентными положительными зарядами, вблизи которых для их компенсации в соответствии с принципом электронейтральности локализуются квазисвободные электроны, обусловливающие тепловую электронную поляризацию.
Заключение
Установлено, что ионы Cr3+ и Fe3+ оказывают различное влияние на магнитные свойства: в Bi2(Sn0,9Cr0,1)2O7 проявляются ферромагнитные обменные взаимодействия, а Bi2(Sn0,9Fe0,1)2O7 – антиферромагнитные.
В β-фазе Bi2(Sn0,9Cr0,1)2O7 установлен гистерезис поляризации, смещенный по оси поляризации. Ширина гистерезиса растет при нагревании.
Для Bi2(Sn0,8Fe0,2)2O7 найден нелинейный вид электрической поляризации от поля с отсутствием гистерезиса в β-фазе, что объясняется взаимодействием дипольной и миграционной поляризаций.
______________________________
* Работа выполнена при финансовой поддержке РФФИ, Красноярского края и Красноярского краевого фонда науки, проект № 20-42-243002.
The research was funded by RFBR, Krasnoyarsk Territory and Krasnoyarsk Regional Fund of Science, project number 20-42-243002.
About the authors
Lyubov V. Udod
Kirensky Institute of Physics, Federal Research Center KSC SB RAS
Author for correspondence.
Email: luba@iph.krasn.ru
Cand. Sc., Associate Professor of the Department of Physics
Russian Federation, Akademgorodok 50, Krasnoyarsk, 660036Maxim N. Sitnikov
Kirensky Institute of Physics, Federal Research Center KSC SB RA
Email: kineru@mail.ru
Cand. Sc., Associate Professor of the Department of Physics
Russian Federation, Akademgorodok 50, Krasnoyarsk, 660036Hishem Abdelbaki
Reshetnev Siberian State University of Science and Technology
Email: abdel.hichem@outlook.fr
post-graduate student of the Department of Physics
Russian Federation, 31, Krasnoyarskii Rabochii prospekt, Krasnoyarsk, 660037Oxana B. Romanova
Reshetnev Siberian State University of Science and Technology
Email: rob@iph.krasn.ru
Cand. Sc., Kirensky Institute of Physics, Federal Research Center KSC SB RAS
Russian Federation, 31, Krasnoyarskii Rabochii prospekt, Krasnoyarsk, 660037References
- Tarasenko T. N., Mikhailov V. I., Kravchenko Z. F., Burkhovetsky V. V., Kamenev V. I., Izotov A. I., Legenkiy Yu. A., Demidenko O. F., Yanushkevich K. I., Aplesnin S. S. Effect of cationic substitution on the crystal structure, magnetic and electrical properties of BiFe1-xMnxO3 (x = 0.05 and 0.15). Izv. RAN. Physical series. 2020, Vol. 84, P. 1307–1309.
- Romanova O. B., Aplesnin S. S, Sitnikov M. N., Udod L. V., Begisheva O. B., Demidenko O. F. Magnetoresistive effect in the cobalt-doped bismuth ferrite films. J. Materials Science: Materials in Electronics. 2020, Vol. 31, P. 7946. https://doi.org/10.1007/s10854-020-03333-7.
- Aplesnin S. S., Masyugin A. N., Rybina U. I., Tarasenko T. N. and Yanushkevich K. I. Low-temperature phase transition in bismuth ferrite films substituted by manganese. IOP Conf. Series: Materials Science and Engineering. 2020, Vol. 822, P. 012021. doi: 10.1088/1757-899X/822/1/012021012021.
- Masyugin A. N., Aplesnin S. S., Loginov Y. Y. and Bandurina O. N. Magnetoelectric effect in bismuth – neodymium ferrite – garnet films. IOP Conf. Series: Materials Science and Engineering. 2020, Vol. 822, P. 012025. doi: 10.1088/1757-899X/822/1/012025.
- Aplesnin S. S., Masyugin A. N., Kretinin V. V., Yanushkevich K. I. Regulating the BiMnxFe1-xO3 film conductivity upon cooling in magnetic and electric fields. Mater. Research Express. 2019, Vol. 6, P. 116125. DOI: doi.org/10.1088/2053-1591/ab4ec7.
- Romanova O. B., Aplesnin S. S., Sitnikov M. N., Udod L. V. Magnetotransport effects and electron phase separation in manganese sulfides with electron-hole doping. ZhETF. 2021, Vol. 159, P. 1–14. doi: 10.31857/S0044451021030000.
- Romanova O. B., Aplesnin S. S., Udod L.V. Effect of electron and hole doping on the transport characteristics of chalcogenide systems. Solid State Phys. 2021, Vol. 63, P. 606–609. doi: 10.21883/FTT.2021.05.50808.269.
- Aplesnin S. S., Yanushkevich K. I. Changes in the magnetoresistance in MnSe1-XTeX manganese chalcogenides upon transition from bulk samples to thin-film ones. Siberian Aerospace Journal. 2020, Vol. 21, No. 2, P. 254–265. doi: 10.31772/2587-6066-2020-21-2-254-265.
- Aplesnin S. S., Kharkov A. M., Filipson G. Yu. Magnetic Capacitance in Variable-Valence Manganese Sulfides. Phys. Status Solidi B. 2020, Vol. 257, P. 1900637. doi: 10.1002/pssb.201900637.
- Romanova O. B., Aplesnin S. S., Udod L. V., Sitnikov M. N., Kretinin V. V., Yanushkevich K. I., Velikanov D. A. Magnetoresistance, magnetoimpedance, magnetothermopower, and photoconductivity in silver-doped manganese sulfides. J. Appl. Phys. 2019, Vol. 125, P. 175706. DOI: https://doi: 10.1063/1.5085701.
- Aplesnin S. S., Sitnikov M. N., Kharkov A. M., Masyugin A. N., Kretinin V. V., Fisenko O. B., Gorev M. V. Magnetoelectric Effect in a Paramagnetic Region in Gd0.15Mn0.85Se. Physics of the Solid State, 2019, Vol. 61, No. 8, P. 1379–1382. doi: 10.1134/S1063783419080067.
- Aplesnin S. S., Masyugin A. N., Volochaev M., Ishibashi T. Coexistence of the electric polarization and conductive current in the bismuth–neodymium ferrite garnet films. J Mater Sci: Mater Electron. 2021, Vol. 32, P. 3766–3781. DOI: https://doi.org/10.1007/s10854-020-05121-9.
- Aplesnin S. S., Sitnikov M. N., Zhivul’ko A. M. Magnetocapacity in the Paramagnetic Region in a Cation-Substituted Manganese Selenide. Phys. Solid State. 2018, Vol. 60, P. 673–680.
- Aplesnin S. S., Masyugin A. N., Sitnikov m.N.., Ishibashi T. Influence of the Substrate on the Magnetoelectric Effect of Rare-Earth-Substituted Bismuth Ferrite Garnet Films. Letters to JETF. 2019, Vol. 110, P. 204–212. DOI: https://doi .1134/S0370274X19150128. 15. Greedan J. E. Geometrically frustrated magnetic materials. J. Mater. Chem. 2001, Vol. 11, P. 37
- Petrakovskii G. A., Loseva G. V., Ryabinkina L. I., Aplesnin S. S. Metal-insulator transition and magnetic properties in disordered systems of solid solutions MexMn1-xS. JMMM. 1995, Vol. 140–144 (PART 1), P. 147–148.
- Aplesnin S. S. Influence of spin-phonon coupling on the magnetic moment in 2D spin-1/2 antiferromagnet. Phys. Lett. Section A: General, Atomic and Solid State Physics. 2003, Vol. 313 (1–2), P. 122–125.
- Aplesnin S. S. A study of anisotropic Heisenberg antiferromagnet with S = 1/2 on a square lattice by Monte-Carlo method. Phys. Status Solidi (B) Basic Research. 1998, Vol. 207 (2), P. 491–498.
- Aplesnin S. S. Monte?Carlo Study of Two?Dimensional Quantum Antiferromagnets with Random Anisotropies and Spin S = 1 // Physica Status Solidi (b). 1989. Vol. 153 (1). P. K79–K84.
- Champion J. D. M., Wills A. S., Fennell T., Bramwell S. T., Gardner J. S., Green M. A. Order in the Heisenberg pyrochlore: The magnetic structure of Gd2Ti2O7. Phys. Rev. B. 2001, Vol. 64, P.140407(R).
- Aplesnin S. S. Dimerization of antiferromagnetic chains with four-spin interactions. Phys. Solid State. 1996, Vol. 38 (6), P. 1031–1036.
- Aplesnin S. S. Quantum Monte Carlo analysis of the 2D Heisenberg antiferromagnet with S = 1/2: The influence of exchange anisotropy. J. Phys. Condens. Matter. 1998, Vol. 10 (44), P. 10061–10065.
- Aplesnin S. Existence of massive singlet excitations in an antiferromagnetic alternating chain with S=1/2. Phys. Rev. B – Conden. Matter and Materials Physics. 2000, Vol. 61 (10), P. 6780–6784.
- Aplesnin S. S. Nonadiabatic interaction of acoustic phonons with spins S = 1/2 in the two-dimensional heisenberg model. J. Experimental and Theoretical Physics. 2003, Vol. 97, Is. 5, P. 969–977.
- Aplesnin S. S., Moskvin A. I. Magnetic structures upon ordering of eg orbitals in a square lattice. J. Phys. Condens. Matter. 2008, Vol. 20 (32), P. 325202.
- Aplesnin S. S. Two-dimensional quantum spin liquid with S = 1/2 spins interacting with acoustic phonons. Phys. Lett. Section A: General, Atomic and Solid State Physics. 2004, Vol. 333, Is. 5–6, P. 446–449.
- Bramwell S. T., Harris M. J. Frustration in Ising-type spin models on the pyrochlore lattice. J. Phys.: Cond. Matter. 1998, Vol. 10, L215.
- Subramanian, M. A., Calabrese, J. C., Torardi, C. C., Gopalakrishnan, J., Askew, T. R. Crystal structure of the high-temperature superconductor TI2Ba2CaCu2O8. Nature. 1988, Vol. 332, P. 420–422. doi: 10.1038/332420A0.
- Greedan J. E., Raju N. P., Maignan A., Simon Ch., Pedersen J. S., Niraimathi A. M., Gmelin E., and Subramanian M. A. Frustrated pyrochlore oxides, Y2Mn2O7, Ho2Mn2O7, and Yb2Mn2O7: Bulk magnetism and magnetic microstructure. Phys. Rev. B. 1996, Vol. 54, P. 7189.
- Subramanian M. A., Toby B. H., Ramirez A. P., Marshall W. J., Sleight A. W., Kwei G.H. Colossal Magnetoresistance Without Mn3+/Mn4+ Double Exchange in the Stoichiometric Pyrochlore Tl2Mn2O7. Science. 1996, Vol. 273, P. 81.
- Aplesnin S. S., Udod L. V., Sitnikov M. N., Shestakov N. P. Bi2(Sn0.95Cr0.05)2O7: Structure, IR spectra, and dielectric properties. Ceramics International. 2016, Vol. 42, P.5177–5183.
- Aplesnin S. S., Udod L. V., Sitnikov M. N. Electronic transition, ferroelectric and thermoelectric properties of bismuth pyrostannate Bi2(Sn0.85Cr0.15)2O7. Ceramics International. 2018, Vol. 44, P. 1614–1620.
- Aplesnin S. S., Udod L.V., Sitnikov M.N., Kretinin V. V., Molokeev M. S. and Mironova-Ulmane N. Dipole glass in chromium-substituted bismuth pyrostannate. Mater. Res. Express. 2018, Vol. 5, P. 115202. DOI: https://doi.org/10.1088/2053-1591/aaddd934.
- Aplesnin S. S., Udod L. V., Loginov Y. Y., Kretinin V. V., Masyugin A. N. Influence of cation substitution on dielectric and electric properties of bismuth stannates Bi2Sn1.9Me0.1O7 (Me=Cr, Mn). IOP Conf. Series: Materials Science and Engineering. 2019, Vol. 467, P. 012014(5).
- Udod L. V., Aplesnin S. S., Sitnikov M. N., Romanova O. B., Molokeev M. N. Phase transitions in bismuth pyrostannate upon substitution of tin by iron ions. J. All. Compound. 2019, Vol. 804, P. 281–287. DOI: https://doi.org/10.1016/j.jallcom.2019.07.020.
- Udod L., Aplesnin S., Sitnikov M., Romanova O., Bayukov O., Vorotinov A., Velikanov D., Patrin G. Magnetodielectric effect and spin state of iron ions in iron-substituted bismuth pyrostannate. EPJP. 2020, Vol. 135, Article number: 776. DOI: https://doi.org/10.1140/epjp/s13360-020-00781-2.
- Kobune M., Ishito H., Mineshige A., Fujii1 S., Tomozawa R. T. Relationship between Pyroelectric Properties and Electrode Sizes in (Pb, La)(Zr, Ti)O3 (PLZT) Thin Films. J. Apl. Phys. 1998, Vol. 37, P. 5154.
- Aurisicchio C., Fioravanti G., Grubessi O., Zanazzi. P.F. Reappraisal of the crystal chemistry of beryl. American Mineralogist. 1988, Vol. 73, Is. 7, P. 826–837.
Supplementary files







