Magnetic capacity in manganese sulfides with rare earth substitution Mn1–xRexS
- Authors: Kharkov A.M.1, Bandurina O.N.1, Aplesnin S.S.1, Voronova E.G.1
-
Affiliations:
- Reshetnev Siberian State University of Science and Technology
- Issue: Vol 25, No 1 (2024)
- Pages: 157-166
- Section: Section 3. Technological Processes and Materials
- Published: 29.07.2024
- URL: https://journals.eco-vector.com/2712-8970/article/view/634633
- DOI: https://doi.org/10.31772/2712-8970-2024-25-1-157-166
- ID: 634633
Cite item
Abstract
Polycrystalline samples Mn1–xGdxS and Mn1–xYbxS with a concentration x = 0.2, near the concentration of ion flow through the fcc lattice, are studied in order to determine fluctuations in the valence of the ytterbium ion on dielectric properties. Dielectric constant and dielectric losses were determined from measurements of capacitance and loss tangent in the frequency range 102–106 Hz at temperatures of 80–500 K without a magnetic field and in a magnetic field. The magnetic capacity and dielectric losses in the magnetic field of the sample were determined from the relative change in the real and imaginary parts of the dielectric constant of the sample in a magnetic field H = 12 kOe applied parallel to the capacitor plates. A temperature range with a sharp increase in dielectric constant and with a maximum dielectric loss has been discovered, which shifts with increasing frequency and magnetic field. An increase in dielectric constant and dielectric losses in a magnetic field above 170 K was found in Mn1-xYbxS. The increase in dielectric losses is explained by an increase in relaxation time, as a result of local deformations near ytterbium ions during valence fluctuations. The mechanism for reducing reactance in a magnetic field in Mn1–xYbxS at low frequencies due to capacitance, and at high frequencies due to inductance, has been determined. In the Mn0.8Gd0.2S compound, the imaginary part of the dielectric constant has two maxima. The low-temperature maximum shifts in a magnetic field towards high temperatures and is described in the model of localized electrons with freezing of dipole moments. Dielectric losses decrease in a magnetic field. The magnetic capacity decreases by an order of magnitude in Mn0.8Gd0.2S compared to Mn0.8Yb0.2S. The dielectric constant in both compounds is described in the Debye model with the activation dependence of the relaxation time on temperature, where the activation energies differ for ytterbium and gadolinium ions.
Keywords
Full Text
Introduction
In spacecraft, electronics operate in extreme conditions with temperature differences of hundreds of degrees. It is necessary to find materials, for example, based on multiferroics, that can demonstrate stable operation under these conditions.
Materials, where the relationship between magnetic and electrical properties, magnetoelectrics and multiferroics is manifested, are of interest from both fundamental and applied points of view [1–4]. Specific attention is drawn to materials exhibiting magnetoelectric properties in the region of room and higher temperatures in connection with practical application in microelectronics for recording and storing information [5; 6]. Bismuth ferrite BiFeO3 belongs to such studied materials [7–9]. LuFe2O4 reveals the effect of giant magnetic capacity at room temperature and it is explained by charge fluctuations with different spin values in Fe2+ and Fe3+ ions as a result of the removal of degeneracy between the two types of charge order by an external magnetic field [10].
Magnetic capacity in an electrically inhomogeneous medium can be due to the Maxwell–Wagner effect [11–14] due to the tensor nature of the interaction of current carriers with the magnetic and electric fields and the mixing of longitudinal and transverse conductivity components. Within the model, the magnetic capacity is positive provided the size of the electrical inhomogeneity is an order of magnitude greater than the electron mean free path, the measurement time 1/ω exceeds the scattering time, and the matrix is dielectric [13].
Such effects clearly demonstrate that the presence of magnetic capacity is not sufficient to classify these compounds as multiferroics. On the other hand, magnetic capacitance without magnetoelectric coupling may be more practical for technological applications since the existence of long-range magnetic order is not required.
The dielectric constant and its response to a magnetic field depend on the degree of electrical inhomogeneity, which can be changed as a result of nonstoichiometric substitution in manganese sulfide, for example, by gadolinium ions with zero orbital magnetic moment and thulium, the orbital moment of which determines the electrical polarizability of the ion [15–19]. Besides, the ytterbium ion belongs to elements with variable valence [20–23], whose valence fluctuations will make an additional contribution to the dielectric constant and impedance [24–26].
The purpose of the study is to establish the effect of cation substitution on electrical polarization, the response of dielectric characteristics and dielectric losses to a magnetic field during electronic doping of semiconductors.
X-ray diffraction analysis and methodology
The research focused on polycrystalline samples Mn1-xGdxS and Mn1-xYbxS with a concentration x = 0.2, near the concentration of ion flow through the fcc lattice. According to X-ray diffraction data, the samples have a fcc lattice type, similar to the original sulfide compounds [27]. Fig. 1 shows an X-ray diffraction pattern of the samples.
Рис. 1. Рентгеновская дифракционная картина образцов Mn0,85Yb0,15S (a) и Mn0,8Yb0,2S (b) при комнатной температуре
Fig. 1. X-ray diffraction pattern of Mn0.85Yb0.15S (a) and Mn0.8Yb0.2S (b) samples at room temperature
Gadolinium sulfide has a metallic type of conductivity, while ytterbium sulfide is a semiconductor with a gap in the electronic excitation spectrum. Under the influence of external pressure, the gap closes and YbS exhibits metallic properties. As the number of electrons increases, the unfilled 4f levels move closer to the Fermi energy, which leads to a change in the electronic properties. The shift of the 4f level to the Fermi energy occurs in heavy rare earth elements from GdS to YbS, where the 4f level crosses the bottom of the band and is located in the forbidden gap [28–32].
Dielectric constant and dielectric losses are determined from capacitance and loss tangent measurements measured on an AM-3028 component analyzer in the frequency range 102–106 Hz at temperatures of 80–500 K. Magnetic capacity δ(Re(ε)) and dielectric losses in the magnetic field of the sample were determined as
(1)
where Re(ε(H)) and Im(ε(Н)) are the real and imaginary parts of the dielectric constant of the sample in a magnetic field H = 12 kOe applied parallel to the capacitor plates, and Re(ε(0)) is in a zero magnetic field. To prevent leakage currents, a layer of mica several micrometers thick was placed between the sample and the capacitor plates.
Results and discussions
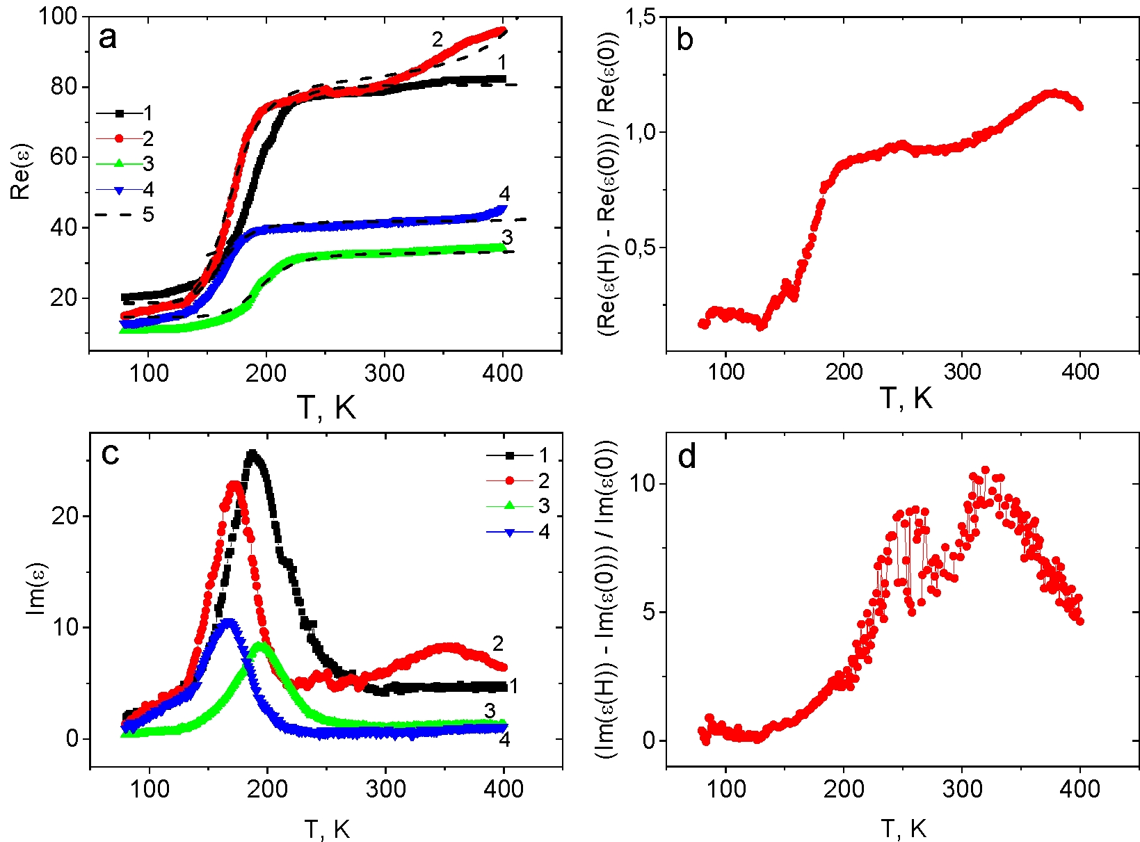
Fig. 2 shows the components of dielectric constant versus temperature for Mn0.8Yb0.2S. In the temperature range 160–180 K, the dielectric constant increases sharply, and the dielectric losses have a maximum, which shifts from T = 166 K to T = 190 K with an increase in frequency from 10 to 100 kHz. When heated, the dielectric constant in a magnetic field increases above 170 K (Fig. 2, b), dielectric losses also increase several times. An increase in dielectric losses can be caused by an increase in relaxation time or an increase in conductivity in a magnetic field. Measuring the active and reactive components of impedance partially answers this question.
Рис. 2. Температурная зависимость действительной части диэлектрической проницаемости для образца Mn0,8Yb0,2S, измеренная в нулевом магнитном поле на частотах 100 кГц (3), 10 кГц (4) и в магнитном поле H = 8 кЭ на частотах 100 кГц (1), 10 кГц (2). Теоретические расчеты в модели Дебая – пунктирные линии 5 (a). Относительное изменение действительной части диэлектрической проницаемости в магнитном поле H = 8 кЭ на частоте 10 кГц (b). Температурная зависимость мнимой части диэлектрической проницаемости для образца Mn0,8Yb0,2S, измеренная в нулевом магнитном поле на частотах 100 кГц (3), 10 кГц (4) и в магнитном поле H = 8 кЭ на частотах 100 кГц (1), 10 кГц (2) (с). Относительное изменение мнимой части диэлектрической проницаемости в магнитном поле H = 8 кЭ на частоте 10 кГц (d)
Fig. 2. Temperature dependence of the real part of the dielectric constant for the Mn0.8Yb0.2S sample measured in a zero magnetic field at frequencies 100 kHz (3), 10 kHz (4) and in a magnetic field H = 8 kOe at frequencies 100 kHz (1), 10 kHz (2). Theoretical calculations in the Debye model – dotted lines 5 (a). Relative change in the real part of the dielectric constant in a magnetic field H = 8 kOe at frequency 10 kHz (b). Temperature dependence of the imaginary part of the dielectric constant for the Mn0.8Yb0.2S sample measured in a zero magnetic field at frequencies 100 kHz (3), 10 kHz (4) and in a magnetic field H = 8 kOe at frequencies 100 kHz (1), 10 kHz (2) (с). Relative change in the imaginary part of the dielectric constant in a magnetic field H = 8 kOe at frequency 10 kHz (d)
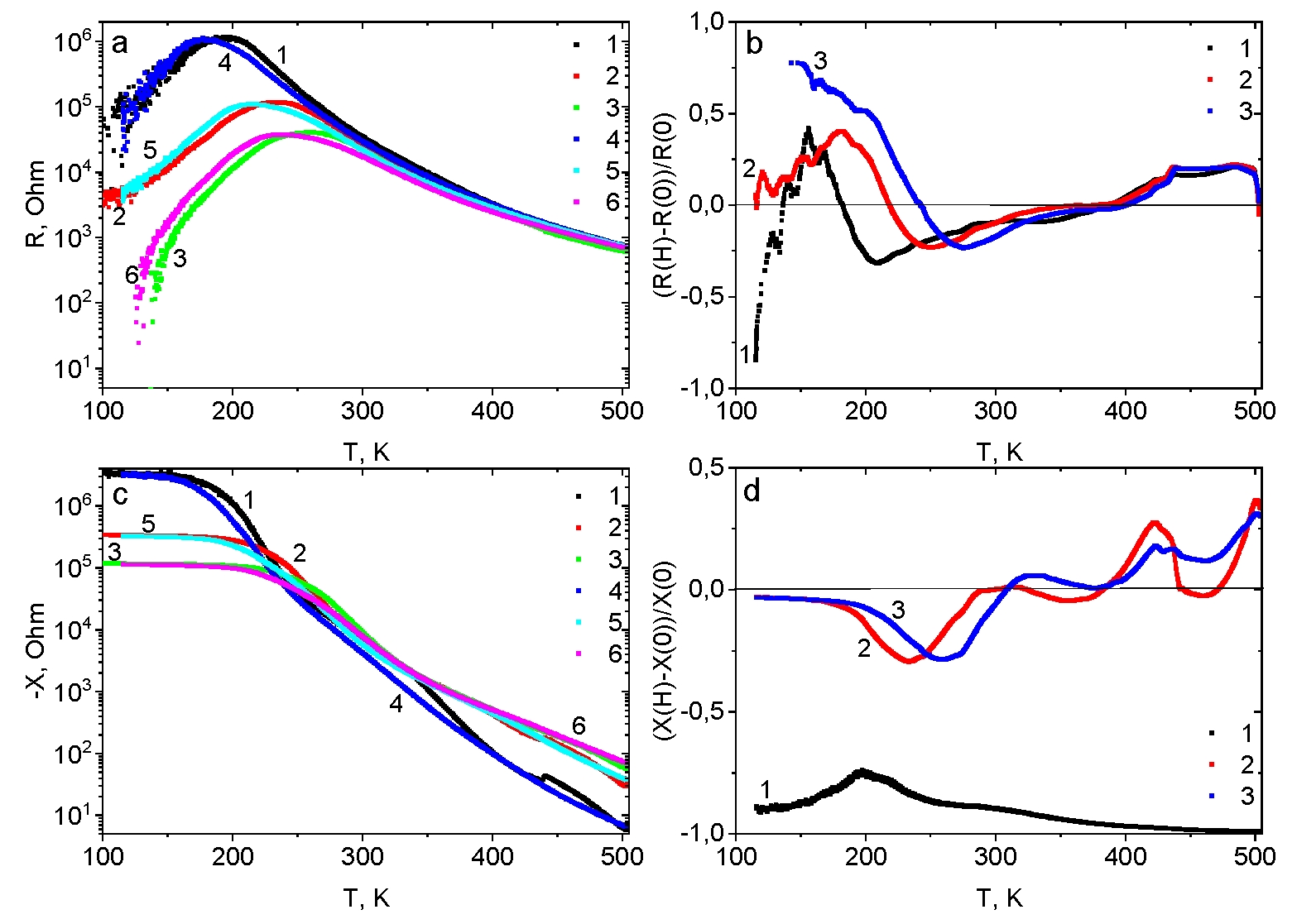
Fig. 3 shows the dependencies of resistance on alternating current and reactance without a magnetic field and in a magnetic field. The maximum resistance R(T) in a magnetic field shifts to the region of low temperatures. As a result, magnetoresistance in the temperature range 160–400 K changes sign and becomes negative. The reactance decreases by half at a frequency of 10 kHz in absolute value. The Mn0,8Yb0,2S compound has a high resistance and the reactance X = Lω – 1/ωC is mainly due to the capacitance. The decrease in X(H) / X(H = 0) is caused by an increase in capacitance, which is consistent with the magnetic capacity (Fig. 2, b).
Рис. 3. Температурная зависимость активного сопротивления для образца Mn0,8Yb0,2S без поля (1, 2, 3) и в магнитном поле (4, 5, 6) на частотах 10 кГц (1, 4), 100 кГц (2, 5), 300 кГц (3, 6) (a). Магнитосопротивление активной части импеданса от температуры на частотах 10 кГц (1), 100 кГц (2), 300 кГц (3) (b). Зависимость реактивного сопротивления от температуры без поля (1, 2, 3) и в магнитном поле (4, 5, 6) на частотах 10 кГц (1, 4), 100 кГц (2, 5), 300 кГц (3, 6) (c). Магнитосопротивление реактивной части импеданса от температуры на частотах 10 кГц (1), 100 кГц (2), 300 кГц (3) (d)
Fig. 3. Temperature dependence of active resistance for the Mn0.8Yb0.2S sample without a field (1, 2, 3) and in a magnetic field (4, 5, 6) at frequencies 10 kHz (1, 4), 100 kHz (2, 5), 300 kHz (3, 6) (a). Magnetoresistance of the active part of the impedance versus temperature at frequencies 10 kHz (1), 100 kHz (2), 300 kHz (3) (b). Dependence of reactance on temperature without a field (1, 2, 3) and in a magnetic field (4, 5, 6) at frequencies 10 kHz (1, 4), 100 kHz (2, 5), 300 kHz (3, 6) (c). Magnetoresistance of the reactive part of the impedance versus temperature at frequencies 10 kHz (1), 100 kHz (2), 300 kHz (3) (d)
The qualitative difference between X(H)/X(H = 0) and C(H)/C(H = 0) at high frequencies ω > 105 Hz is due to the appearance of the inductive contribution of electrons in the vicinity of ytterbium ions. Electron hopping near an impurity center contributes to the appearance of an orbital magnetic moment and their synchronization in an external magnetic field. At low frequencies, a diffusion contribution is added, which is found from the impedance spectrum. In manganese sulfides substituted with elements of variable valence, large dielectric losses are observed due to local deformation near ytterbium ions during valence fluctuations. Dielectric losses are caused by electron-phonon interaction of current carriers with phonons. The imaginary part of the dielectric constant is related to the real part of the optical conductivity σ' by the relation Im(ε) = σ'/ω. In disordered semiconductors with hopping conductivity, a resonant and relaxation mechanism of conductivity can be realized.
Substitution of manganese with gadolinium does not qualitatively change the ε(T) dependences presented in Fig. 4. The dielectric constant of Mn0,8Gd0,2S increases with heating and has an inflection at 170 K. The magnetic capacity decreases by an order of magnitude in Mn0,8Gd0,2S compared to Mn0,8Yb0,2S.
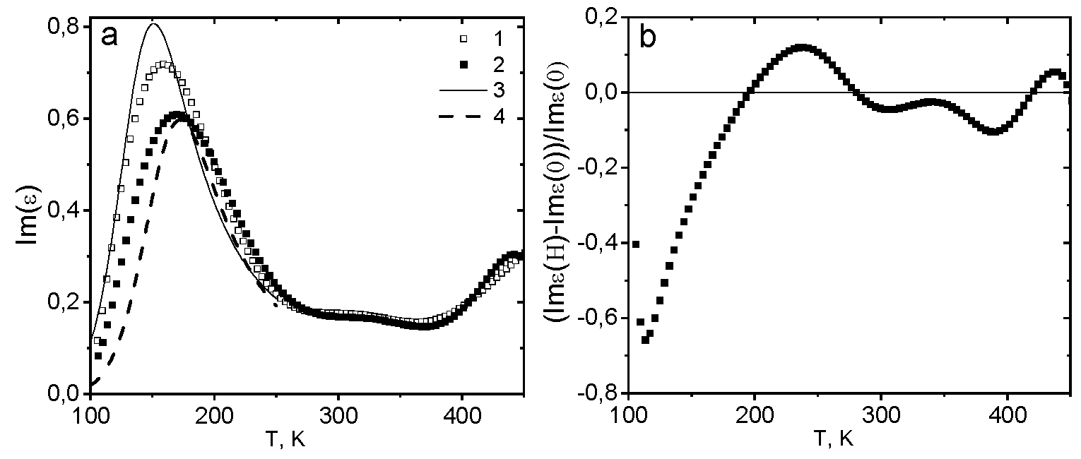
For the Mn0.8Gd0.2S composition, the dielectric constant is determined by localized electrons in the sublattice of manganese ions and conduction electrons in the gadolinium subsystem. The imaginary part of the dielectric constant Im(ε(ω)), shown in Fig. 5, has two maxima at T = 170 K and T = 442 K. The low-temperature maximum shifts in a magnetic field H = 8 kOe towards high temperatures (Fig. 5). Dielectric losses decrease in a magnetic field, except for the temperature range 194–279 K and 417–451 K (Fig. 5). We describe the low-temperature maximum in Im(ε(ω)) at T = 170 K in the model of localized electrons with freezing of dipole moments with activation energy ΔE = 900 K without a magnetic field and in a magnetic field ΔE = 1050 K.
Рис. 4. Действительная часть диэлектрической проницаемости (а) от температуры для твердого раствора Mn0,8Gd0,2S, измеренная на частоте 10 кГц без поля (1) и в магнитном поле Н = 8 кЭ (2). Подгоночная функция Re(ε) = A/(1 + Bexp(2ΔE/T)) + ε0 c энергией активации ΔE = 900 К (3), 1050 К (4) (a). Магнитоемкость в магнитном поле H = 8 кЭ от температуры (b)
Fig. 4. Real part of the dielectric constant (a) on temperature for Mn0.8Gd0.2S solid solution, measured at a frequency of 10 kHz without a field (1) and in a magnetic field H = 8 kOe (2). Fitting function Re(ε) = A/(1 + Bexp(2ΔE/T)) + ε0 with activation energy ΔE = 900 K (3), 1050 K (4) (a). Magnetic capacity in a magnetic field H = 8 kOe depending on temperature (b)
Fitting function
Im (ε) = A1·exp(ΔE / T) / (1 + B·exp(2ΔE / T)); Re(ε) = ε0+ C / (1 + B·exp(2ΔE / T)) (2)
describes well the experimental data in Fig. 4 and 5 in the temperature range 100–250 K.
Рис. 5. Мнимая часть диэлектрической проницаемости (а) от температуры для твердого раствора Mn0,8Gd0,2S, измеренная на частоте 10 кГц без поля (1) и в магнитном поле Н = 8 кЭ (2) Подгоночная функция с энергией активации 900 К (3), 1050 К (4) (a). Относительное изменение мнимой части диэлектрической проницаемости в магнитном поле от температуры (b)
Fig. 5. Imaginary part of the dielectric constant (a) on temperature for Mn0.8Gd0.2S solid solution, measured at a frequency of 10 kHz without a field (1) and in a magnetic field H = 8 kOe (2). Fitting function with activation energy 900 K (3), 1050 К (4) (a). Relative change in the imaginary part of the dielectric constant in a magnetic field on temperature (b)
The maximum decrease in dielectric losses in a magnetic field was observed in the vicinity of the Néel temperature and was caused by a decrease in the scattering of charged particles on spin fluctuations, which were suppressed by the magnetic field. The increase in dielectric constant above room temperature was caused by an increase in the electron delocalization radius and the disappearance of orbital-charge ordering.
The dielectric constant of Mn0,8Yb0,2S is described by formula (2) in the Debye model with the activation dependence of the relaxation time τс = τ0·exp(ΔE / kT), where ΔE is the activation energy (ΔE = 0.17 eV).
Conclusion
The replacement of manganese ions by rare earth ions in the flow region results in a significant difference in dielectric properties. The presence of ions of variable valence leads to an increase in dielectric constant by a factor of two and dielectric losses by an order of magnitude compared to Mn0.8Gd0.2S. This is caused by valence fluctuation and strong electron-lattice coupling. Upon transition to the antiferromagnetic state, dielectric losses decrease by half in a magnetic field in Mn0.8Gd0.2S and do not change in Mn0.8Yb0.2S. Above room temperature, the imaginary part of the dielectric constant increases by an order of magnitude in Mn0.8Yb0.2S. The decrease in reactance in Mn0.8Yb0.2S in a magnetic field at low frequencies is caused by an increase in capacitance, and at high frequencies it happens due to an increase in inductance.
About the authors
Anton M. Kharkov
Reshetnev Siberian State University of Science and Technology
Author for correspondence.
Email: khark.anton@mail.ru
Cand. Sc., Associate Professor of the Department of Physics
Russian Federation, KrasnoyarskOlga N. Bandurina
Reshetnev Siberian State University of Science and Technology
Email: bandurinaon@yandex.ru
Cand. Sc., Associate Professor of the Department of Physics
Russian Federation, KrasnoyarskSergey S. Aplesnin
Reshetnev Siberian State University of Science and Technology
Email: aplesnin@sibsau.ru
Dr. Sc., Professor of the Department of Physics
Russian Federation, KrasnoyarskEvgenia G. Voronova
Reshetnev Siberian State University of Science and Technology
Email: evg.danilenko@mail.ru
Postgraduate Student, Institute of Space Technology
Russian Federation, KrasnoyarskReferences
- Khomskii D. Classifying multiferroics: Mechanisms and effects. Physics. 2009, Vol. 2, P. 20.
- Kumar A., Kim S. H., Peddigari M. et al. High Energy Storage Properties and Electrical Field Stability of Energy Efficiency of (Pb0.89La0.11)(Zr0.70Ti0.30)0.9725O3 Relaxor Ferroelectric Ceramics. Electron. Mater. Lett. 2019, Vol. 15, P. 323–330.
- Mostovoy M. V. Ferroelectricity in Spiral Magnets. Phys. Rev. Lett. 2006, Vol. 96, P. 067601.
- Kumar M., Shankar S., Kumar A. et al. Progress in multiferroic and magnetoelectric materials: applications, opportunities and challenges. J. Mater. Sci.: Mater. Electron. 2020, Vol. 31, P. 19487–19510.
- Eerenstein W., Mathur N. D., Scott J. F. Multiferroic and magnetoelectric materials. Nature. 2006, Vol. 442, P. 759.
- Ederer C., Spaldin N. A. Weak ferromagnetism and magnetoelectric coupling in bismuth ferrite. Phys. Rev. B. 2005, Vol. 71, P. 060401.
- Wang J., Neaton J.B., Zheng H. Epitaxial BiFeO3 multiferroic thin film heterostructures. Science. 2003, Vol. 299, P. 1719.
- Pyatakov A. P., Zvezdin A. K. [Magnetoelectric materials and multiferroics]. UFN. 2012, Vol. 182, P. 593–620 (In Russ.).
- Udod L. V., Aplesnin S. S., Sitnikov M. N. et al. Structural and Magnetic Transitions in the Bi2Fe4O9/BiFeO3 Composite. J. All. Comp. 2023, Vol. 957, No 2, P. 170445.
- Kambe T., Fukada Y., Kano J. et al. Magnetoelectric Effect Driven by Magnetic Domain Modification in LuFe2O4. Phys. Rev. Lett. 2013, Vol. 110, P. 117602.
- Maxwell J. C. Treatise on Electricity and Magnetism. 3rd ed., Dover, New York, 1991, P. 5–531.
- Aplesnin S. S., Sitnikov M. N., Zhivulko A. M. [Change of sign of magnetic capacity in the paramagnetic region in cation-substituted manganese selenide]. FTT. 2018, Vol. 60, Is. 4, P. 670–676 (In Russ.).
- Parish M. M., Littlewood P. B. Magnetocapacitance in Nonmagnetic Composite Media. Phys. Rev. Lett. 2008, Vol. 101, P. 166602.
- Aplesnin S. S., Sitnikov M. N., Kharkov A .M., Abdelbaki H. Effect of the Electrical Inhomogeneity on the Magnetocapacitance Sign Change in the HoxMn1‒xS Semiconductors upon Temperature and Frequency Variation. J. Mater. Sci.: Mater. Electron. 2023, Vol. 34, P. 284.
- Aplesnin S. S., Kharkov A. M., Filipson G. Yu. Magnetic capacitance in variable-valence manganese sulfides. Phys. Stat. Sol. B. 2020, Vol. 257, No. 5, P. 1900637.
- Aplesnin S. S., Sitnikov M. N. [Magnetotransport effects in the paramagnetic state in GdxMn1−xS]. Letters to JETP. 2014, Vol. 100, Is. 2, P. 104–110 (In Russ.).
- Aplesnin S. S., Sitnikov M. N. [Magnetic capacitance effect in GdxMn1-xS]. FTT. 2016, Vol. 58, Is. 6, P. 1112 (In Russ.).
- Aplesnin S. S., Sitnikov M. N., Kharkov A. M., Masyugin A. N., Kretinin V. V., Fisenko O. B., Gorev M. V. Influence of induced electrical polarization on the magnetoresistance and magnetoimpedance in the spin-disordered TmxMn1–xS solid solution. Phys. Status Solidi B. 2019, Vol. 256, P. 1900043.
- Kharkov A. M., Sitnikov M. N. et al. Magnetocapacity of manganese sulphides substituted by thulium ions. IOP Conf. Ser.: Mater. Sci. Eng. 2020, Vol. 822, P. 012024.
- Wachter P. Handbook on the Physics and Chemistry of Rare Earths. Phys. Rev. B. 1989, P. 132.
- Syassen K., Winzen H., Zimmer H. G. et al. Optical response of YbS and YbO at high pressures and pressure-volume relation of YbS. Phys. Rev. B. 1985, Vol. 32, P. 8246.
- Matsunami M., Chainani A., Taguchi M. et al. Photoemission Evidence for Valence Fluctuations and Kondo Resonance in YbAl2. Phys. Rev. B. 2008, Vol. 78, P. 195118.
- Matsunami M., Okamura H., Ochiai A., Nanba T. Pressure Tuning of an Ionic Insulator into a Heavy Electron Metal: An Infrared Study of YbS. Phys. Rev. Lett. 2009, Vol. 103, P. 237202.
- Aplesnin S. S., Kharkov A. M., Romanova O. B. et al. Spin state of cations and magnetoelastic effect in the Mn1–xYbxS. JMMM. 2014, Vol. 352, P. 1–5.
- Aplesnin S. S., Sitnikov M. N., Kharkov A. M. et al. Magnetoimpedance, Jahn-Teller transitions upon electron doping of manganese sulfide. JMMM. 2020, Vol. 513, P. 167104.
- Aplesnin S. S., Kharkov A. M., Sokolov V. V. Gigantic magnetocapacitive effect into YbxMn1–xS. Abstracts. V Euro-Asian Symposium Trends in Magnetism: Nanospintronics Eastmag, Vladivostok, 2013, P. 33–34.
- Aplesnin S. S., Ryabinkina L. I., Abramova G. M. Spin-dependent transport in α-MnS single crystals. Phys. Sol. St. 2004, Vol. 46, Is. 11, P. 2067.
- Strange P., Svane A., Temmerman W. M. et al. Understanding the valency of rare earths from first-principles theory. Nature. 1999, Vol. 399, P. 756.
- Petit L., Svane A., Szotek Z. et al. Simple rules for determining valencies of f-electron systems. J. Phys.: Cond. Mat. 2001, Vol. 13, P. 8697–8706.
- Aplesnin S. S., Romanova O. B., Yanushkevich K. I. Magnetoresistance effect in anion-substituted manganese chalcogenides. Phys. Stat. Sol. B.: Basic Research. 2015, Vol. 252, Is. 8, P. 1792.
- Okamura H., Watanabe T., Matsunami M. et al. Universal scaling in the dynamical conductivity of heavy fermion Ce and Yb compounds. J. Phys. Soc. Jpn. 2007, Vol. 76, P. 023703.
- Annese E. Definitive Evidence for Fully Occupied 4f Electrons in YbS and Yb Metal. Phys. Rev. B. 2004, Vol. 70, P. 075117.
Supplementary files








