Current mode performance of a traction linear induction motor driven from the voltage converter
- Authors: Palka R.1, Woronowicz K.2, Kotwas J.1
-
Affiliations:
- Department of Power Systems & Electrical Drives, West Pomeranian University of Technology
- Bombardier Transportation
- Issue: Vol. 4, Issue 3, Suppl. 1 (2018)
- Pages: 105-114
- Section: Original papers
- URL: https://journals.eco-vector.com/transsyst/article/view/10737
- DOI: https://doi.org/10.17816/transsyst201843s1105-114
- ID: 10737
Cite item
Full Text
Abstract
Background: The paper deals with the modelling of a traction Linear Induction Motor (LIM) for public transportation. Typical problems arising from the electromagnetic finite element model development are described. The end effect causes asymmetry of phase impedances of the LIM. Because of that, if the LIM is supplied from the voltage inverter, which is usually the case, the phase currents become asymmetric. This causes performance calculation discrepancies in models that assume phase current symmetry.
Aim: The aim of the paper is to develop a method for calculating the imbalanced three-phase LIM currents to precisely predict the LIM performance.
Methods: Here, a method is developed to calculate the LIM phase current asymmetry by means of a self-developed electromagnetic finite element program – ELMAG, capable of adapting mesh generation based on Reynolds, Péclet and skin-depth numbers.
Results: The calculated asymmetric currents are used in a real size traction LIM calculation in COMSOL, to derive the performance characteristics for comparison with the results achieved when supplying the LLIM with the symmetric three phase current.
Conclusion: These results show that the natural asymmetry of the currents is an important factor that must be considered in appropriately calculating the LIM performance.
Full Text
INTRODUCTION
Traction Linear Induction Motor (LIM) has been deployed worldwide in driver-less transit systems requiring very short headways for all weather conditions. The systems based on LIMs have proven to be, by far, the least expensive in operations and maintenance (including energy consumption). Electromagnetic FEA (Finite Element Analysis) calculations are crucial to optimizing the LIM system performance as they can provide results necessary to construct the mechanical characteristic - force versus speed, shaped by the so-called end effect, which further contributes to designing the most efficient controls [1, 2], [13]. To simplify the FEA model and to minimize the time to numerical solution, the symmetrical three-phase current can be used; however, this does not reflect the reality when the LIM is driven from the voltage inverter. This paper shows differences in slip versus thrust characteristics between the simplified FEA approach and the one where asymmetry of phase currents arises naturally from the real supply conditions.
PROBLEM FORMULATION
Linear induction motors can be found in numerous applications from the industrial low power material handling systems to high output military aircraft launch equipment and electric transit vehicles. The advanced LIM design must always take into account the so called end-effect. This effect, resulting in demagnetization of the front-end of the machine, is speed and frequency dependent. Some aspects of the end effect evaluation have already been described in literature.
Typically, the established analytical models of the LIM express the excitation currents in the primary coils as infinitely thin current sheets or discrete coils. Fig. 1 (left) shows both parts of the typical LIM and Fig. 1 (right) presents its 3-dimensional model.
Fig. 1. LIM primary (supplied part) and secondary (reaction rail) [1] – left. The 3-dimensional model of the LIM [2] – right
The speed and convenience of the analytical computations make the analytical model of the LIM an efficient and practical tool capable of rapidly predicting the qualitative changes in LIM performance and serves to qualify the selected FEA solution method. The discrete coils approach leads to a more realistic model of the LIM and allows for representation of spatial harmonics due to discrete current distribution. However, in recent decades, LIM modeling and analysis started relying more on Finite Element Analysis instead of analytical solutions. Due to its finite nature, resulting in end-effect, the FEA electromagnetic transient solver is mostly applied to carry out computational tasks. However, it has been shown [3] that if applied properly, the frequency domain solver FEA simulation can not only validate and cross-check the analytical model of the LIM but also establish the validity and applicability of the FEA frequency domain solver solution as a preferred replacement for the time consuming electromagnetic transient FEA calculations.
Fig. 2 shows some simplified calculation models of the subject LIM which can be used for the analytical evaluation of its parameters. The following assumptions have been made to the LIM structure in order to simplify the calculation process:
- Two-dimensional analysis can be used,
- The iron magnetization curve is linear,
- The conductivity of the reaction rail is constant,
- The motion in only x-direction is allowed.
Fig. 2. 2-dimensional models ot the LIM used for the analytical evaluation [3] and [4]
Introducing the vector potential A:
(1)
and using the usual simplifications one can obtain the following differential equation for one component of the complex vector potential (in z-direction) describing the magnetic field distribution in the whole region (2-dimensional case):
(2)
where A is the z-component of the magnetic vector potential, J is the impressed current source density (z-component), is the angular frequency of the harmonic field, µ and are the permeability and conductivity of the medium respectively, and is the relative horizontal (x-direction) velocity of the medium. Given the source’s excitation field in the air-gap, an analytic solution for equation (2) can be obtained, following the formalism given in [3, 4].
In some formulations for thin conducting plates, the magnetic field due to eddy-currents can be neglected, what leads to the simplification of the problem. It is possible for low magnetic Reynolds number, i.e.
(3)
where denotes the angular frequency of the movement, d denotes the plate thickness and b is a characteristic dimension of the plate [5].
The quantity which defines the penetration of electromagnetic field into the conducting region is the skin-depth d:
(4)
The magnetic Reynolds number together with the skin-depth give appropriate information about the magnetic field penetration into a conducting region and allow for the proper choice of the calculation algorithm, either the analytical or purely numerical.
LIM FINITE ELEMENT ANALYSIS
The Finite Element Analysis should be applied to determine all important parameters of the real LIM. The biggest challenge which must be solved is the proper FEA of the penetration of electromagnetic field into the moving and conducting region of the reaction rail (in fact the active part of the LIM moves). Such modelling and analysis can be extremely difficult and time-consuming. It requires the proper choice of the FE mesh what usually leads to very large systems of algebraic equations describing the problem and can cause numerical instability.
In the FEA a characteristic (average) size h of finite elements in the conducting region of rotating machine can be estimated by the Péclet number
[6, 7]:
(5)
If Pe > 1, numerical instabilities may occur when applying the standard Galerkin discretization technique [7]. Reynolds number, skin-depth and Péclet number give some indications regarding the FE-mesh size for evaluation of sinusoidal fields in moving conducting media. The conditions (4), (5) usually lead to the large number of finite elements in the conducting region, what results in long calculation times and can also lead to instability the of numerical calculations. These are the reasons necessitating a very careful approach to choosing an FE-mesh. Additionally, this mesh should be changed according to the actual skin-depth value, i.e. for each value of speed and frequency.
In order to check the stability and the accuracy of the computation some simplified FE LIM-models have been developed.
Fig. 3, 4 show the exemplary magnetic field distributions within the
3-phase LIM supplied from the current source (identical currents in all phases) obtained by the self-developed calculation program ELMAG. The values of the main parameters for the calculation were: µAl = 1.05µ0, µFe = 1000µ0, sAl = 36.59·106 S/m, sFe = 10.02 106 S/m, f = 50 Hz, v = 25 m/s.
The skin-depth for above data dFe = 0.71 10-3 m leads to the characteristic value of finite elements in conducting iron h ≤ 0.24 10-3 m, but (5) requirement says that h ≤ 0,006 10-3 m. This is a very rigorous condition which is very hard to fulfil (Al-thickness 4.5 mm, Fe-thickness 25 mm). The coarse finite element mesh can cause instabilities and large calculation errors.
Fig. 3. Magnetic field distribution within the simplified model of the LIM and within the reaction rail (for nonconducting iron part) for different speed values
Fig. 4. Magnetic field distribution within the simplified model of the LIM and within the reaction rail (for conducting iron part) for different speed values
From Fig. 3, 4 it can be seen that the magnetic field distribution on both ends of the machine shows typical asymmetry. These end-effects have already been analyzed in many papers, both analytically and numerically [8-11], [14]. If the machine is supplied from the voltage inverter, this end-effect asymmetry leads to the asymmetry of phase currents.
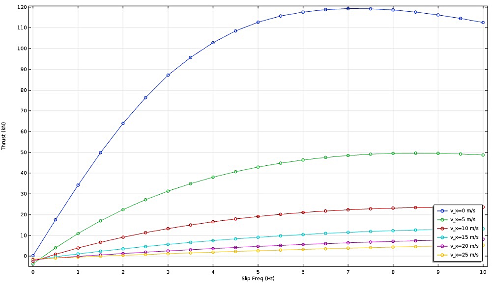
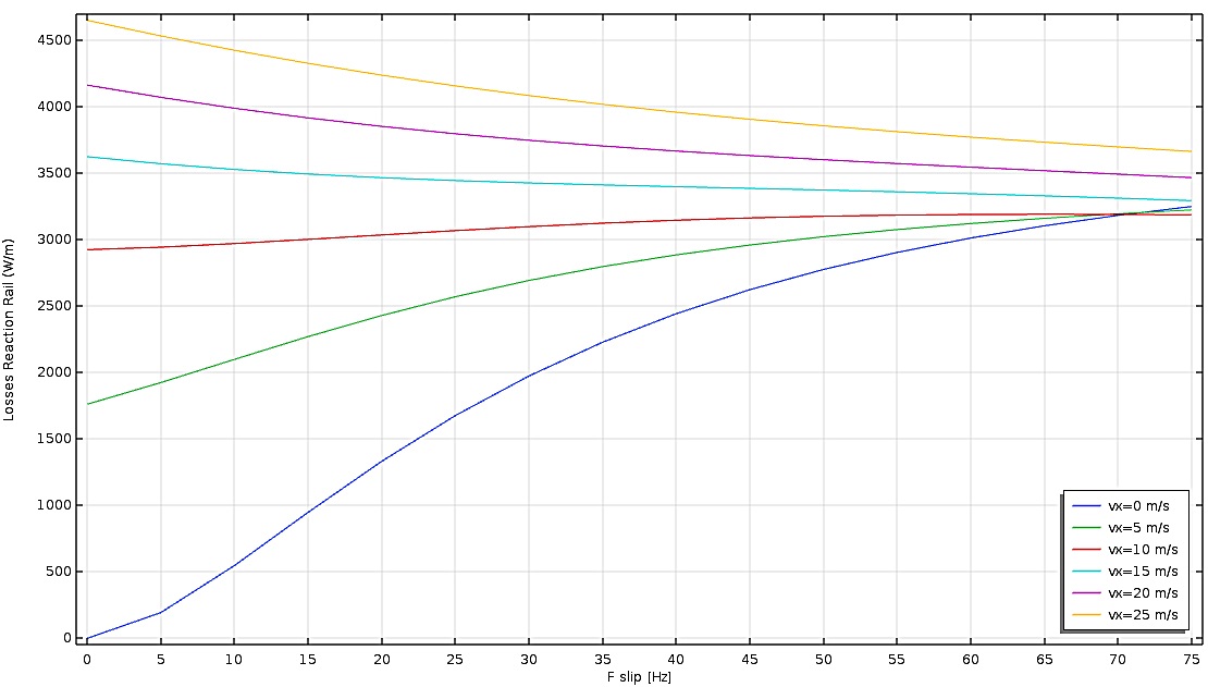
An advanced LIM simulation tool was developed based on finite element software, which made it possible to determine all important characteristics of the machine, such as forces, power losses, inductances, etc. Fig. 5 shows the results obtained by applying the new tool for the above simplified model of the LIM (obtained by COMSOL [12]).
Fig. 5a. Thrust of the LIM as a function of slip for different speed values
Fig. 5b. Power losses in the reaction rail as a function of slip for different speed values
LIM SUPPLY AND CONTROL
Fig. 6 shows a typical supply system of a traction LIM.
The LIM is typically supplied from the voltage inverter converting thrust command into current by PWM control. However, as the impedances of the LIM are unequal, due to the end-effect, the three phase currents differ in their phase and magnitude, producing negative sequence of phase currents, which leads to decreased performance. The three phase currents can be equalized by proper voltage control if only the LIM impedances were known. The magnetic field calculations shown above enable the determination of the self- and mutual-inductances of the LIM windings. Because the winding currents are magnetically coupled with one other and additionally coupled with induced currents in the reaction rail, these impedances are frequency and speed dependent, thus their determination can be very involving. The global impedance La (by supplying of all LIM phases) of one winding carrying the effective current I can be obtained by calculating the system energy Wm:
(6)
Calculation of the above inductance for each phase for different speeds and frequency values gives the required information about differences of theses inductances under different operating conditions. This calculation was performed by means of ELMAG and after that the average values of the impedances were used in COMSOL field modelling by supplying the LIM with unequal currents (voltage mode, approximated method).
It should be stated here that this algorithm can also be realized directly via COMSOL by solving the appropriate voltage equations – results obtained by both methods are very similar.
RESULTS
All above considerations can be used for the proper evaluation of the real LIM. Next Fig. 7, 8 show the magnetic field distribution within the subject LIM.
Fig. 7. Magnetic field distribution for v = 0 m/s within the LIM (COMSOL)
Fig. 8. Magnetic field distribution for v = 5 m/s within the LIM (COMSOL)
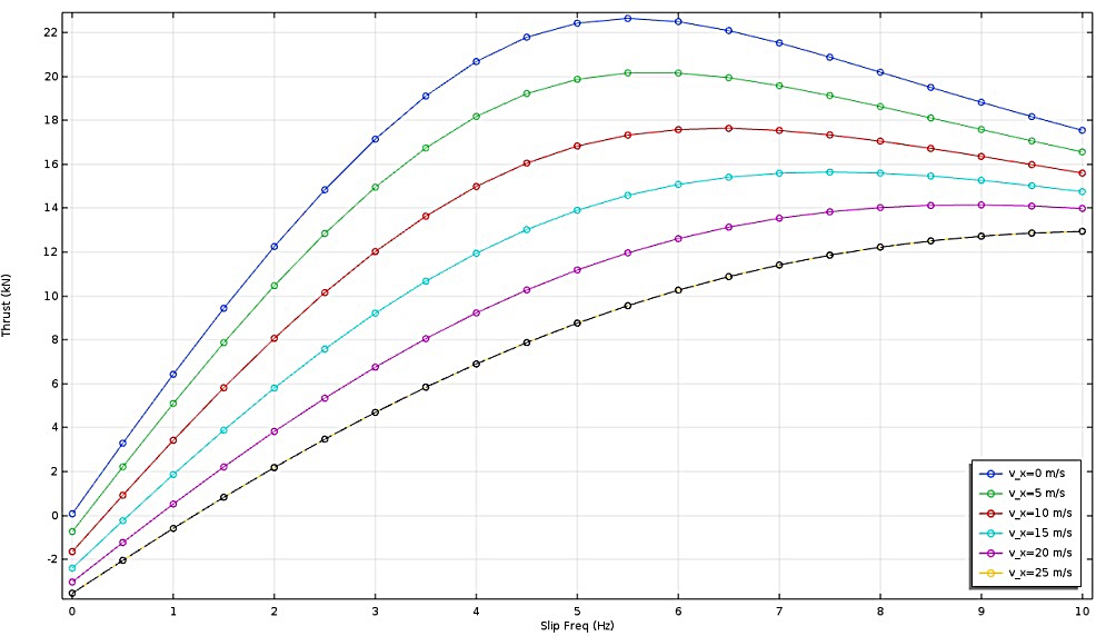
Comparison of LIM characteristics obtained by COMSOL for the current- and voltage supply have been shown in Figs. 9, 10.
Fig. 9a. Comparison of LIM characteristics obtained for the current-supply
Fig. 9b. Comparison of LIM characteristics obtained for the voltage-supply
CONCLUSION
The method of calculating phase current asymmetry in LIMs has been proposed. The self-developed electromagnetic FEA software, ELMAG, was used to calculate phase inductances and in consequence the prospective LIM currents when fed from the voltage inverter. The resulting asymmetric currents were then applied in COMSOL to simulate the real size LIM performance and compare it with the results obtained by feeding the symmetric currents. The same results have also been obtained directly by COMSOL These results prove that the natural asymmetry of the currents is an important factor that must be considered in appropriately calculating the LIM performance.
ACKNOWLEDGMENT
This work has been supported with the grant of the National Science Centre, Poland 2015/17/B/ST8/03251.
About the authors
Ryszard Palka
Department of Power Systems & Electrical Drives, West Pomeranian University of Technology
Author for correspondence.
Email: rpalka@zut.edu.pl
ORCID iD: 0000-0003-3509-6500
Prof. D.Sc. Ph.D. Eng.
Poland, SzczecinKonrad Woronowicz
Bombardier Transportation
Email: konrad.woronowicz@rail.bombardier.com
ORCID iD: 0000-0001-6242-0332
D.Sc, Ph.D,P. Eng.
Canada, KingstonJan Kotwas
Department of Power Systems & Electrical Drives, West Pomeranian University of Technology
Email: j351994@gmail.com
ORCID iD: 0000-0002-1804-4808
M.Sc. Eng
Poland, SzczecinReferences
- Woronowicz K, Safaee A, Maknouninejad A. Enhanced Algorithm for Real Time Temperature Rise Prediction of a Traction LIM. Proceedings of the Transportation Electrification Conference and Expo, ITEC 2018; Jun 13–15; Long Beach CA; 2018. р. 616–620.
- Woronowicz K, Palka R. Optimised Thrust Control of Linear Induction Motors by a Compensation Approach. International Journal of Applied Electromagnetics and Mechanics. 2004;19:533-536.
- Abdelqader M, Morelli J, Palka R, Woronowicz K. 2-D quasi-static solution of a coil in relative motion to a conducting plate. COMPEL – The International Journal for Computation and Mathematics in Electrical and Electronic Engineering. 2017;36(4):980-990. doi: 10.1108/COMPEL-07-2016-0312
- Woronowicz K, Abdelqader M, Palka R, Morelli J. 2-D Quasi-Static Fourier Series Solution for a Linear Induction Motor. COMPEL – The International Journal for Computation and Mathematics in Electrical and Electronic Engineering. 2018;37(3):1099-1109. doi: 10.1108/COMPEL-06-2017-0247
- Gramz M. The calculation of eddy-currents induced in a thin conductor moving with respect to the magnetic field. Archiwum Elektrotechniki. 1979;28(2):309-318.
- De Gersem H, Hameyer K. Finite element simulation of a magnetic brake with a soft magnetic solid iron rotor. COMPEL – The International Journal for Computation and Mathematics in Electrical and Electronic Engineering. 2002;21(2):296-306. doi: 10.1108/03321640210416386
- De Gersem H, Vande Sande H, Hameyer K. Motional magnetic finite element method applied to high speed rotating devices. COMPEL – The International Journal for Computation and Mathematics in Electrical and Electronic Engineering. 2000; 19(2):446-451. doi: 10.1108/03321640110383852
- Adamiak K. A method of optimization of winding in linear induction motor. Archiv für Elektrotechnik. 1986;69:83-91. doi: 10.1007/bf01574843
- Abdollahi S.E., Mirzayee M. and Mirsalim M. Design and analysis of a double-sided linear induction motor for transportation. IEEE Transactions on Magnetics. 2015;51(7):1-7. doi: 10.1109/TMAG.2015.2407856
- Amiri E. and Mendrela E.A. A novel equivalent circuit model of linear induction motors considering static and dynamic end effects. IEEE Transactions on Magnetics. 2014;50(3):120-128. doi: 10.1109/TMAG.2013.2285222
- Gieras J., Dawson G. and Eastham A. Performance calculation for single-sided linear induction motors with a double-layer reaction rail under constant current excitation. IEEE Transactions on Magnetics. 1986;22(1):54-62. doi: 10.1109/TMAG.1986.1064270
- Introduction to COMSOL Multiphysics, Version 5.3, © 1998–2017 COMSOL. Available at: https://www.comsol.com/documentation.
- Woronowicz K, Palka R. An advanced linear induction motor control approach using the compensation of its parameters. Electromagnetic Fields in Electrical Engineering, IOS Press. 2002:335-338.
- Woronowicz K., Safaee A. A novel linear induction motor equivalent-circuit with optimized end effect model. Canadian Journal of Electrical and Computer Engineering. 2014;37(1):34-41. doi: 10.1109/CJECE.2014.2311958
Supplementary files














