Calcium phosphate and composite materials functionalization of bioactive agents for its target delivery to the bone
- Authors: Kuvshinova E.A.1, Petrakova N.V.2, Sergeeva N.S.1, Sviridova I.K.1, Kirsanova V.A.1, Ahmedova S.A.1, Karalkin P.A.1, Teterina A.Y.2, Komlev V.S.2
-
Affiliations:
- P.A.Herzen Moscow Oncology Research Institute — Branch of the National Medical Research Radiological Centre of the Ministry of Healthcare of the Russian Federation
- Institutution of Russian Academy of Science A.A. Baikov Institute of Metallurgy and Material Science
- Issue: Vol 27, No 3 (2020)
- Pages: 52-59
- Section: Original study articles
- Submitted: 05.08.2020
- Accepted: 25.08.2020
- Published: 26.12.2020
- URL: https://journals.eco-vector.com/0869-8678/article/view/42268
- DOI: https://doi.org/10.17816/vto202027352-59
- ID: 42268
Cite item
Full Text
Abstract
Aim of the study. The development of the method of octacalcium phosphate (OCP) and mineral-polymer composite material functionalization with biological agents (human platelet lysate (PL) growth factors and antibiotic vancomycin) by the biomimetic coprecipitation principle technique.
Materials and methods. The OCP and the mineral-polymer composite matrices (sodium alginate / gelatin / OCP) functionalization was obtained by biomimetic coprecipitation of calcium phosphates and the bioactive molecules on their surface. The materials structure was examined by electron microscopy. The functionalization efficiency was determined by measurement of the incorporated compounds in solution, as well as by analysis of their release over the 8 days. The antimicrobial activity of vancomycin functionalized samples was evaluated by in vitro disk diffusion method against the Staphylococcus aureus strain.
Results. The evaluation of incorporated molecules release showed that the OCP functionalization with vancomycin is more effective than PL. The antibiotic release had continued for three days, while PL growth factors — only for 30 minutes. The incorporated into a composite matrix vancomycin was completely released within 24 h. In vitro study of the functionalized composite samples showed growth delay of the Staphylococcus aureus strain in dependence on antibiotic content.
Conclusion. The developed method of drug incorporation during biomimetic precipitation allowed to create target delivery system which transfer antibiotic to the bone defect.
Full Text
Введение
При восстановлении дефектов костной ткани для усиления процессов регенерации в остеопластической хирургии используют широкий спектр биоматериалов, включая биоактивные составы на основе ортофосфатов кальция, синтезированные по керамической технологии. К ним относятся трехкальциевый фосфат (ТКФ), гидроксиапатит, карбонат гидроксиапатит, октакальциевый фосфат (ОКФ) и др. [1–3]. Основным их преимуществом является хорошая биосовместимость, биорезорбируемость, способность к остеокондукции и, у некоторых из них, к остеоиндукции. Керамическая технология позволяет получить матрикс с заданной пористостью и развитостью поверхности, что обеспечивает циркуляцию биологических жидкостей по всему объему имплантата, способствуя неоваскуляризации, адгезии, пролиферации и дифференцировке прогениторных клеток костной ткани [4–6].
Еще одним уникальным свойством кальцийфосфатных (КФ) материалов является наличие на их поверхности избыточного заряда, который обеспечивает взаимодействие с веществами различной химической природы [7, 8]. Это открывает возможность их использования в качестве депо биологически активных молекул и лекарств в зоне дефекта.
Использование фосфатов кальция в составе композиционных материалов придает им дополнительные биоактивные и реакционные свойства. Одним из способов получения таких композитов является формирование КФ-слоя на базисном материале путем биомиметического осаждения из раствора, имитирующего внутреннюю среду организма. Этот процесс протекает при физиологической температуре и подходит для любого вида биоматериалов [9, 10]. Преимуществом биомиметического метода является возможность совместить осаждение КФ-слоя с инкорпорацией биоактивного соединения в этот слой. При этом молекулы встраиваемого вещества взаимодействуют с ионами кальция и фосфатными ионами новообразующегося слоя, что препятствует их быстрому высвобождению.
Такой подход уже был апробирован для функционализации различных материалов антибиотиками, факторами роста (ФР), гормонами и другими биоактивными соединениями [11–14]. Однако методы функционализации остеопластических материалов лекарственными средствами, которые обеспечили бы их контролируемый выход по заданной динамике, пока не разработаны.
Ранее нами была показана принципиальная возможность инкорпорации соединения белковой природы в формируемый биомиметическим осаждением КФ-слой на поверхности ОКФ и β-ТКФ [15]. Было показано значительное преимущество ОКФ как базисного материала перед β-ТКФ. Для β-ТКФ эффективнее оказался подход с использованием двухэтапного биомиметического осаждения: на первом этапе на поверхности функционализируемого материала формировали КФ-слой, индуцирующий связывание инкорпорируемого соединения в процессе осаждения второго КФ-слоя.
Цель исследования — разработка способа функционализации биоматериалов: ОКФ и минерал-полимерного композиционного материала (альгинат натрия / желатин / ОКФ), биоактивными соединениями лизата тромбоцитов (ЛТ) человека и ванкомицином методом одно- или двухэтапного биомиметического осаждения.
Материалы и методы
Функционализацию осуществляли для двух видов остеопластических материалов: гранулированной ОКФ керамики (Ca/P = 1.33, диаметр гранул 0,5–1,0 мм) и композиционного матрикса (альгинат натрия — 56 %, желатин — 14 %, ОКФ — 30 %) в виде дисков диаметром 4,0 мм и высотой 3,0 мм. Площадь удельной поверхности (Sуд) исследуемых материалов составляла 5,9 и 8,6 м2/г для ОКФ и композиционного матрикса соответственно. В качестве исходного материала для изготовления керамических пористых гранул был использован порошок ТКФ. В соответствии с запатентованной технологией [16], в результате двухстадийного химического синтеза ТКФ последовательно трансформировался в промежуточную фазу дикальцийфосфат дигидрата, а затем — в фазу ОКФ. Полученные гранулы, кроме того, использовали при формировании минерал-полимерных композиционных материалов на основе альгината натрия, желатина и фосфатов кальция [17, 18].
Функционализацию остеопластических материалов ЛТ или ванкомицином осуществляли методом инкорпорации в процессе биомиметического осаждения фосфатов кальция на их поверхность [15, 19]. Для ОКФ использовали однократное осаждение. Для композиционного материала использовали двухэтапную методику, в ходе которой сначала была произведена модификация его поверхности путем осаждения слоя фосфатов кальция из трехкратно концентрированного раствора, моделирующего внутреннюю среду организма (3×СБФ (simulated body fluid, SBF), мМ: Na+ 426,0, K+ 15,0, Mg2+ 4,5, Ca2+ 7,5, Cl– 443,4, HPO42– 3,0, SO42– 1,5, HCO3– 12,6; pH 7,4). Для этого минерал-полимерный матрикс предварительно обрабатывали янтарной кислотой в течение 60 с, а затем выдерживали в течение 7 сут в 3×СБФ, при 37 °С и постоянном перемешивании. Далее следовал этап инкорпорации биологически активного соединения в процессе второго биомиметического осаждения. Для этого использовали перенасыщенный КФ-раствор (СЦС (supersaturated calcium phosphate solutions, SCS), мМ: Na+ 136,8, K+ 3,71, Ca2+ 3,1, Cl– 144,5, HPO42– 1,86; pH 7,4), содержащий очищенный от фибриногена ЛТ человека, полученный по разработанной ранее методике [20, 21], или антибиотика ванкомицина (Teva Pvt. Ltd., Венгрия). Исходная концентрация общего белка в растворе ЛТ составляла 5,0 и 10,0 мг/мл (10 и 20 % раствор ЛТ соответственно), ванкомицина — 5,0–50,0 мг/мл. Гранулированный материал (50,0 мг) или модифицированный композиционный матрикс (по 3 диска, общим весом 4,3 мг) помещали в пластиковые пробирки с инкорпорационным раствором (объем 1,0 мл) и инкубировали при 37 °С и постоянном перемешивании в течение 24–48 ч.
Поверхность материалов исследовали методом сканирующей электронной микроскопии (СЭМ, Tescan Vega II SBU, Tescan, Чехия). Sуд материалов измеряли методом низкотемпературной адсорбции азота Брунауэра – Эммета – Теллера (БЭТ, TriStar 3000, Micromeritics Instrument Corporation, США). Эффективность функционализации оценивали путем измерения концентрации инкорпорируемого соединения в исходных растворах до и после инкубации с материалами. Динамику выхода биологически активных соединений из функционализированных матриксов исследовали в течение 8 сут. Для этого материал помещали в пробирки с 1,0 мл фосфатного буфера (DPBS) и в заданные сроки полностью отбирали буферный раствор для оценки содержания в нем исследуемого соединения, после чего заливали материал таким же объемом свежего буфера.
Концентрацию общего белка ЛТ и ванкомицина в растворах определяли двумя методами — с использованием BCA Protein Assay Kit (ThermoFisher Scientific, США) и путем ультрафиолетовой спектрофотометрии при длине волны 280 нм на бескюветном спектрофотометре NanoDrop-200 (ThermoFisher Scientific, США). Концентрацию отдельных ФР ЛТ оценивали с помощью иммуноферментного анализа (Ebioscience, США). Измерения в видимой области спектра осуществляли на спектрофотометре (Multiscan FC ThermoFisher Scientific, США).
Оценку антимикробной активности функционализированных ванкомицином материалов in vitro производили диско-диффузионным тестом в отношении штамма золотистого стафилококка Staphylococcus aureus [22, 23]. Для этого образцы материалов помещали в чашки Петри с плотной питательной средой TSA, контаминированной стафилококком. В качестве контроля использовали нефункционализированные образцы. После инкубации 1 сут при 37° С определяли величину зоны задержки бактериального роста путем измерения расстояния от края образца до границы роста микроорганизмов вокруг тестируемого объекта.
Результаты
Функционализация ОКФ биологически активными компонентами ЛТ человека
Установлено, что при увеличении концентрации ЛТ в инкорпорационных растворах в 2 раза количество встроенного белка на поверхности ОКФ также возрастало в 2 раза. Так, 6,7 ± 0,8 мкг встроилось в 1 мг материала в 10 % растворе ЛТ и 13,5 ± 1,8 мкг — в 20 % растворе ЛТ. При этом доля встроившегося белка (от исходного содержания в растворах) оставалась постоянной, составляя 7,0–7,4 % (см. таблицу).
Содержание биологически активных компонентов лизата тромбоцитов в инкорпорационных растворах и в функционализированном материале
The content of biologically active compounds of platelet lysate in incorporation solutions and in functionalized material
Инкорпорируемые соединения ЛТ | Исходные концентрации в инкорпорационных растворах | Количества встроенных соединений в 1 мг ОКФ | Доля встроенных соединений от их исходного содержания в инкорпорационных растворах, % |
Общий белок ЛТ | 5,0 мг/мл | 6,7 ± 0,8 мкг/мг | 7,0 (из 4,7 мг) |
10,0 мг/мл | 13,5 ± 1,8 мкг/мг | 7,4 ( из 9,0 мг) | |
PDGF-AA | 2190,0 пкг/мл | 29,9 пкг/мг | 68,3 (из 2,2 нг) |
PDGF-AB | 9150,0 пкг/мл | 101,0 пкг/мг | 55,2 (из 9,2 нг) |
IGF | 12100,0 пкг/мл | 52,0 пкг/мг | 21,5 (из 12, 1 нг) |
VEGF | 540,0 пкг/мл | 2,2 пкг/мг | 20,5 (из 0,5 нг) |
PDGF-BB | 912,0 пкг/мл | 2,8 пкг/мг | 15,3 (из 0,9 нг) |
Примечание. ЛТ — лизат тромбоцитов, ОКФ — октакальциевый фосфат
С помощью иммуноферментного анализа были определены количества ФР, инкорпорированных в ОКФ в 20 % растворе ЛТ. Как видно из таблицы, эти количества составляют миллионные доли от общего белка в инкорпорационном растворе. По способности встраиваться на поверхность ОКФ ФР образовали следующий ряд: PDGF-AA > PDGF-AB > IGF = VEGF > PDGF-BB. Причем доля встроенных ФР напрямую не зависела от их содержания в исходном растворе ЛТ.
Исследование высвобождения общего белка ЛТ из функционализированного ОКФ путем биомиметического осаждения показало, что за первые 30 мин высвободилась бóльшая его часть: при использовании 10 % раствора ЛТ — 72,3 % (из 333,1 мкг встроенного белка), а 20 % раствора ЛТ — 79,4 % (из 677,3 мкг встроенного белка). Полное высвобождение белка произошло за 3 ч (рис. 1).
Рис. 1. Динамика выхода общего белка лизата тромбоцитов из октакальциевого фосфата при инкорпорации в 10 % (кривая 1) и 20 % (кривая 2) растворе лизата тромбоцитов
Динамика выхода отдельных ФР оказалась еще более быстрой. Так, для PDGF-BB было получено полное высвобождение в первые 30 мин эксперимента (данные не представлены).
Функционализация ОКФ ванкомицином
При возрастании концентрации ванкомицина в растворах от 8 до 16 мг/мл эффективность инкорпорации увеличилась также примерно в 2 раза (10,9 ± 1,2 и 22,7 ± 2,4 мкг на 1 мг материала соответственно). При этом 90,5 % (из 546,8 мкг) и 83,6 % (из 1145,5 мг) инкорпорированного антибиотика (для растворов ванкомицина 8 и 16 мг/мл соответственно) высвободилось за первые 30 мин исследования. Полный выход лекарственного препарата был зарегистрирован через 24 и 72 ч наблюдения (для растворов ванкомицина 8 и 16 мг/мл соответственно) (рис. 2).
Рис. 2. Динамика выхода ванкомицина из октакальциевого фосфата при инкорпорации в растворах с исходной концентрацией антибиотика 8,0 мг/мл (кривая 1) и 16,0 мг/мл (кривая 2)
Функционализация ванкомицином композиционного материала на основе биополимеров и ОКФ
С целью создания наиболее приближенных к структуре костной ткани тканеинженерных конструктов ранее был получен композиционный материал на основе биополимеров и ОКФ (альгинат натрия — 56 %, желатин — 14 %, ОКФ — 30 %), который продемонстрировал высокую биосовместимость и удовлетворительные остеопластические свойства [17, 18].
Функционализацию этого материала производили в два этапа. На первом произвели модификацию поверхности композита путем биомиметического осаждения КФ-слоя. Исходный материал имел ячеистую полимерную структуру с гладкой поверхностью, в порах которой располагались гранулы ОКФ в виде кристаллов игольчатой и пластинчатой формы (рис. 3, a, b). После модификации поверхность полимера была покрыта неравномерно распределенным кристаллическим слоем из мелких округлых кристаллов размером до 0,5–1,0 мкм (рис. 3, c). В результате модификации удельная площадь поверхности матрикса увеличилась с 8,6 до 13,0 м2/г.
Рис. 3. Микрофотографии поверхности исходного композиционного материала: а — ув. ×250, b — ув. ×5000; материала с модифицированной поверхностью: с — ув. ×5000
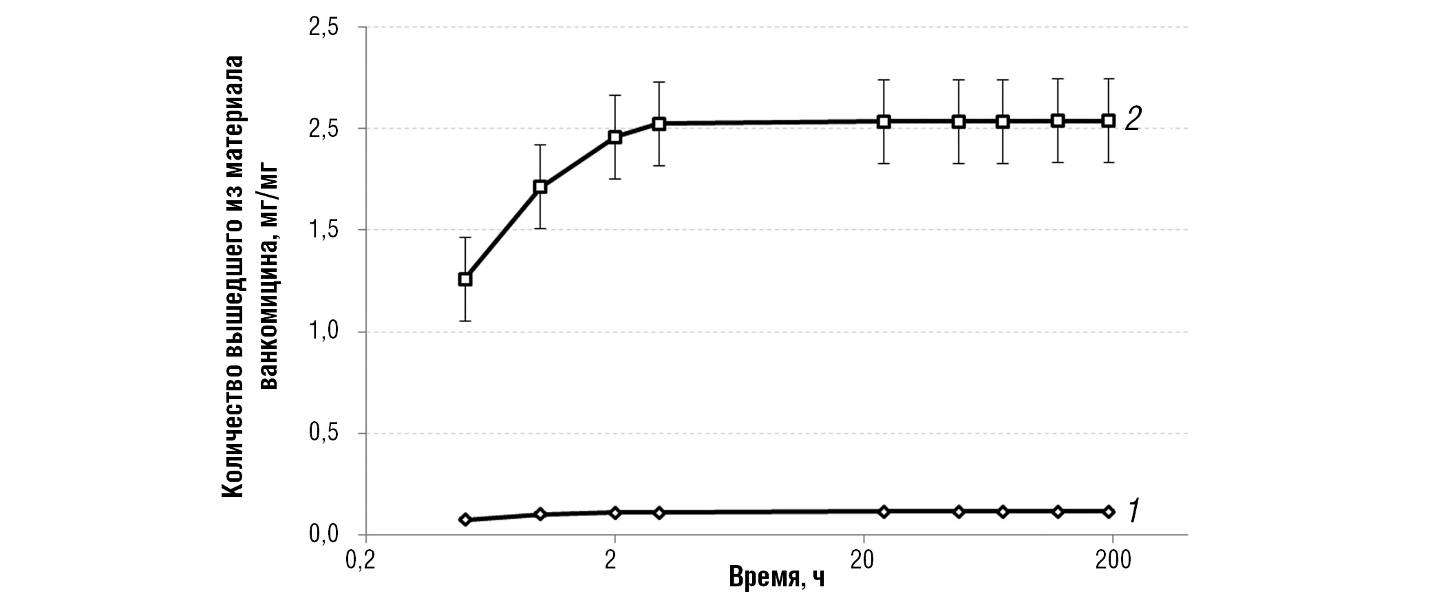
В ходе второго этапа биомиметического осаждения осуществляли инкорпорацию ванкомицина на поверхность модифицированного композиционного материала. При этом в растворах ванкомицина 5,0 и 50,0 мг/мл встроилось 0,12 ± 0,01 и 2,0 ± 0,2 мг этого антибиотика на 1 мг материала соответственно. При исследовании динамики его выхода установлено, что в первые 30 мин из композита высвободилось 65,1 % (из 505,4 мкг) и 61,8 % (из 8795,5 мкг) встроенного препарата (для растворов ванкомицина 5,0 и 50,0 мг/мл соответственно) (рис. 4).
Рис. 4. Динамика выхода ванкомицина из композиционного матрикса при инкорпорации в растворах с исходной концентрацией 5,0 мг/мл (кривая 1) и 50,0 мг/мл (кривая 2)
Через 24 ч кривые вышли на плато. К восьмым суткам исследования опытные образцы полностью растворились, но дополнительного выхода ванкомицина в раствор зарегистрировано не было.
Оценка антимикробной активности функционализированного ванкомицином композиционного материала
Оценка антимикробной активности была осуществлена для функционализированных образцов композиционного матрикса, содержащих 0,1 и 2,0 мг антибиотика в 1 мг материала, полученных при использовании растворов ванкомицина с концентрацией 5,0 и 50,0 мг/мл соответственно. Размер задержки бактериального роста в диско-диффузионном тесте составил 16,0 и 20,0 мм для матриксов, содержащих 0,1 и 2,0 мг/мг ванкомицина соответственно (рис. 5). Это свидетельствует о наличие у них выраженных антимикробных свойств.
Рис. 5. Зоны подавления бактериального роста: a — контрольными образцами (нефункционализированные матриксы), 0–5 мм; b — функционализированными образцами, содержащими 0,1 мг/мг ванкомицина, 16,0 мм; c — функционализированными образцами, содержащими 2,0 мг/мл ванкомицина, 20,0 мм
Обсуждение
Ранее нами был разработан метод инкорпорации бычьего сывороточного альбумина в новообразованный путем биомиметического осаждения КФ-слоя на поверхности ОКФ [15]. В настоящей работе мы использовали этот подход для получения остеопластических материалов с дополнительными функциональными (остеоиндуктивными или антибактериальными) свойствами.
Инкорпорация белков ЛТ и ванкомицина на поверхность ОКФ линейно возрастала при увеличении их исходной концентрации от 5,0 до 10,0 мг/мл и от 8,0 до 16,0 мг/мл для растворов ЛТ и ванкомицина соответственно. Это свидетельствует о недостижении предела насыщения ОКФ этими соединениями в данном диапазоне концентраций. Полученные данные, кроме того, подтверждают выраженные адсорбционные свойства ОКФ по отношению к веществам белковой природы. Действительно, по данным литературы известно, что ОКФ взаимодействует с белками, и основной вклад в этот процесс вносят электростатические взаимодействия между ионами кальция и карбоксильными группами, а также фосфатными ионами и амидными группами [7, 24]. В то же время сорбционная способность разных ФР, содержащихся в ЛТ, оказалась различной и напрямую не была связана с их содержанием в ЛТ.
Сравнительное изучение динамики высвобождения ванкомицина и белковых компонентов ЛТ из функционализированного ОКФ продемонстрировало более длительное связывание антибиотика с поверхностью материала. Так, полный выход ванкомицина произошел в течение 24 ч, тогда как белка ЛТ — в течение всего лишь 3 ч. Не исключено, что в белковых компонентах ЛТ количество свободных групп, способных взаимодействовать с фосфатами кальция, меньше, чем в молекуле ванкомицина, что и обусловило их менее прочное связывание с поверхностью ОКФ.
Описанная динамика выхода ванкомицина, инкорпорированного на поверхность ОКФ, в раствор обосновала дальнейшие исследования функционализации этим антибиотиком другого вида биоматериала — минерал-полимерного композита, представляющего собой альгинат-желатиновый матрикс с включениями гранул ОКФ. Данный состав используется в качестве чернил для получения трехмерных композиционных конструктов методом 3D-печати, предназначенных для замещения костно-хрящевых дефектов тканей [17, 18, 25]. Придание дополнительных антибактериальных свойств имплантируемому конструкту поможет избежать послеоперационного инфицирования, осуществляя адресную доставку антибиотика непосредственно в проблемную зону.
С целью увеличения эффективности функционализации исследуемого композита мы применили двойное биомиметическое осаждение на его поверхность. Как было ранее показано, предварительное формирование КФ-слоя индуцирует последующую инкорпорацию биологически активного соединения на следующем этапе биомиметического осаждения [15]. Количество антибиотика, которое удалось встроить в поверхностный слой композиционного матрикса таким методом, оказалось на порядок выше, чем на поверхность ОКФ, при близких его концентрациях в инкорпорационных растворах. Вероятно, повышение эффективности инкорпорации объясняется наличием макропор в трехмерном матриксе, что облегчает диффузию инкорпорационного раствора, в то время как гранулы чистого ОКФ характеризуются высокой развитостью поверхности, но отсутствием макропористой организации [17, 26].
Однако ванкомицин, инкорпорированный на поверхность ОКФ, продемонстрировал более длительный период высвобождения, чем инкорпорированный на поверхность модифицированного композиционного материала. Не исключено, что в ходе первого этапа функционализации на поверхности матрикса был сформирован недостаточный КФ-слой. Действительно, ранее было показано, что в ходе биомиметического осаждения на поверхности материала сначала формируется слой аморфного фосфата кальция [15], который является начальной фазой в стадии кристаллизации ОКФ и обладающий менее выраженной топографией поверхности.
В исследованиях in vitro было подтверждено наличие антибактериальных свойств у функционализированного ванкомицином композиционного матрикса. Причем продемонстрированная динамика высвобождения препарата обеспечивала выраженный антибактериальный эффект в первые сутки, что может быть важным для предотвращения развития инфекционных процессов в костной ране.
Таким образом, в данной работе был разработан способ получения функционализированного композиционного матрикса, предназначенного для замещения костно-хрящевых дефектов, обладающего антибактериальными свойствами и контролируемой динамикой высвобождения препарата в течение 24 ч.
Заключение
В работе исследована эффективность функционализации биологически активными компонентами ЛТ и ванкомицином двух видов остеопластических материалов: ОКФ и минерал-полимерного композита, содержащего ОКФ. Факторы роста ЛТ продемонстрировали крайне низкую прочность связывания с поверхностью ОКФ. Тогда как взаимодействие ванкомицина с ОКФ обеспечило более длительный выход препарата, что обусловило использование этого антибиотика для функционализации композиционного материала. С помощью разработанного метода инкорпорации ванкомицина в процессе биомиметического осаждения был получен композиционный состав с антибактериальными свойствами, позволяющий осуществить адресную доставку этого препарата непосредственно в зону костного дефекта.
About the authors
Ekaterina A. Kuvshinova
P.A.Herzen Moscow Oncology Research Institute — Branch of the National Medical Research Radiological Centre of the Ministry of Healthcare of the Russian Federation
Author for correspondence.
Email: beliay@mail.ru
ORCID iD: 0000-0003-4331-239X
SPIN-code: 5228-5640
Scopus Author ID: 56736479200
junior researcher
Russian Federation, 2-nd Botkinskiy str, 3, Moscow, 125284Natalia V. Petrakova
Institutution of Russian Academy of Science A.A. Baikov Institute of Metallurgy and Material Science
Email: petrakova.nv@mail.ru
candidate of sciences, researcher
Russian Federation, Leninskiy str. 49, Moscow, 119334Natalya S. Sergeeva
P.A.Herzen Moscow Oncology Research Institute — Branch of the National Medical Research Radiological Centre of the Ministry of Healthcare of the Russian Federation
Email: prognoz.06@mail.ru
doctor of biological sciences, professor, head of the department
Russian Federation, 2-nd Botkinskiy str, 3, Moscow, 125284Irina K. Sviridova
P.A.Herzen Moscow Oncology Research Institute — Branch of the National Medical Research Radiological Centre of the Ministry of Healthcare of the Russian Federation
Email: prognoz.06@mail.ru
candidate of biological sciences, leading researcher
Russian Federation, 2-nd Botkinskiy str, 3, Moscow, 125284Valentina A. Kirsanova
P.A.Herzen Moscow Oncology Research Institute — Branch of the National Medical Research Radiological Centre of the Ministry of Healthcare of the Russian Federation
Email: prognoz.06@mail.ru
candidate of biological sciences, researcher
Russian Federation, 2-nd Botkinskiy str, 3, Moscow, 125284Suraya A. Ahmedova
P.A.Herzen Moscow Oncology Research Institute — Branch of the National Medical Research Radiological Centre of the Ministry of Healthcare of the Russian Federation
Email: prognoz.06@mail.ru
candidate of biological sciences, researcher
Russian Federation, 2-nd Botkinskiy str, 3, Moscow, 125284Pavel A. Karalkin
P.A.Herzen Moscow Oncology Research Institute — Branch of the National Medical Research Radiological Centre of the Ministry of Healthcare of the Russian Federation
Email: pkaralkin@gmail.com
candidate of biological sciences, senior researcher
Russian Federation, 2-nd Botkinskiy str, 3, Moscow, 125284Anastasia Y. Teterina
Institutution of Russian Academy of Science A.A. Baikov Institute of Metallurgy and Material Science
Email: kinskusha@mail.ru
candidate of technical sciences, junior researcher
Russian Federation, Leninskiy str. 49, Moscow, 119334Vladimir S. Komlev
Institutution of Russian Academy of Science A.A. Baikov Institute of Metallurgy and Material Science
Email: komlev@mail.ru
PhD, corresponding member of the Russian Academy of Sciences, director
Russian Federation, Leninskiy str. 49, Moscow, 119334References
- Баринов С.М., Комлев В.С. Биокерамика на основе фосфатов кальция. — М.: Наука, 2014. [Barinov SM, Komlev VS. Calcium phosphate based bioceramics. Moscow: Nauka; 2014. (In Russ.).]
- Cancedda R, Dozin B, Giannoni P, Quarto R. Tissue engineering and cell therapy of cartilage and bone. Matrix Biol. 2003;22(1):81-91. https://doi.org/10.1016/s0945-053x(03)00012-x.
- Tang Z, Li X, Tan Y, et al. The material and biological characteristics of osteoinductive calcium phosphate ceramics. Regen Biomat. 2018;5(1):43-59. https://doi.org/10.1093/rb/rbx024.
- Dorozhkin SV. Multiphasic calciumorthophosphate (CaPO4) bioceramics and theirbiomedicalapplications. Review paper. Ceram Int. 2016;42(6):6529-6554. https://doi.org/10.1016/j.ceramint.2016.01.062.
- Bouler JM, Pilet P, Gauthier O, Verron E. Biphasic calcium phosphate ceramics for bone reconstruction: a review of biological response. Acta Biomaterialia. 2017;53:1-12. https://doi.org/10.1016/j.actbio.2017.01.076.
- Wang Z, Xiao ZW, Fan HS. Fabrication of micro-grooved patterns on hydroxyapatite ceramics and observation of earlier response of osteoblasts to the patterns. J Inorg Mat. 2013;28(1):51-57. https://doi.org/10.3724/SP.J.1077.2013.12093.
- Ridi F, Meazzini I, Castroflorio B, et al. Functional calcium phosphate composites in nanomedicine. Adv Colloid Interface Sci. 2017;244:281-295. https://doi.org/10.1016/j.cis.2016.03.006.
- Stapleton M, Sawamoto K, Alméciga-Díaz CJ, et al. Development of bone targeting drugs. Review. Int J Mol Sci. 2017;18(7):1345. https://doi.org/10.3390/ijms18071345.
- Barrere F, Layrolle P, van Blitterswijk CA, de Groot K. Biomimetic coatings on titanium: a crystal growth study of octacalcium phosphate. J Mater Sci: Mater Med. 2001;12:529-534. https://doi.org/10.1023/a:1011271713758.
- Lu X, Leng Y. Theoretical analysis of calcium phosphate precipitation in simulated body fluid. Biomater. 2005;26:1097-1108. https://doi.org/10.1016/j.biomaterials.2004.05.034.
- Forsgren J, Brohede U, Stromme M, Engqvist H. Co-loading of bisphosphonates and antibiotics to a biomimetic hydroxyapatite coating. Biotechnol Lett. 2011;33:1265-1268. https://doi.org/10.1007/s10529-011-0542-7.
- Kazemzadeh-Narbat M, Lai BFL, Ding C, et al. Multilayered coating on titanium for controlled release of antimicrobial peptides for the prevention of implant-associated infections. Biomater. 2013;34(24):5969-5977. https://doi.org/10.1016/j.biomaterials.2013.04.036.
- Lin X, de Groot K, Wang D, et al. A review paper on biomimetic calcium phosphate coatings. Open Biomed Eng J. 2015;9(Suppl 1-M4):56-64. https://doi.org/10.2174/1874120701509010056.
- Yu X, Wei M. Preparation and evaluation of parathyroid hormone incorporated CaP coating via a biomimetic method. J Biomed Mater Res. Pt B: Appl Biomat. 2011;97B(2):345-354. https://doi.org/10.1002/jbm.b.31820.
- Кувшинова E.A., Петракова Н.В., Сергеева Н.С., и др. Функционализация кальцийфосфатных материалов биологически активными соединениями белковой природы. Biomedical Chemistry: Research and Methods. 2019;2(3):e00096. [Kuvshinova EA, Petrakova NV, Sergeeva NS, et al. The functionalization of calcium phosphate materials of protein-based biologically active molecules. Biomedical Chemistry: Research and Methods. 2019;2(3):e00096. (In Russ.)] https://doi.org/10.18097/bmcrm00096.
- Комлев В.С., Федотов А.Ю. Способ получения керамики на основе октакальциевого фоcфата. Патент на изобретение РФ RU 2596504 C1; 2014. [Komlev VS, Fedotov AYu. Method of producing ceramic based on octacalcium phosphate (OCP). Patent RU 2596504 C1; 2014. (In Russ.)]
- Komlev VS, Sergeyeva NS, Fedotov AY, et al. Investigation of physicochemical and biological properties of composite matrices in a alginate-calcium phosphate system intended for use in prototyping technologies during replacement of bone defects. Inorg Mater: Appl Resh. 2016;7(4):630-634. https://doi.org/10.1134/S2075113316040158.
- Каралкин П.А., Сергеева Н.С., Комлев В.С., и др. Биосовместимость и остеопластические свойства минерал-полимерных композиционных материалов на основе альгината натрия, желатина и фосфатов кальция, предназначенных для трехмерной печати костнозамещающих конструкций. Гены и клетки. 2016;11(3):1-8. [Karalkin PA, Sergeeva NS, Komlev VS, et al. Biocompatibility and osteoplastic properties of mineral polymer composite materials based on sodium alginate, gelatin, and calcium phosphates intended for 3D-printing of the constructions for bone replacement. Genes and cells. 2016;11(3):1-8. (In Russ.)]
- Petrakova NV, Kuvshinova EA, Ashmarin AA, et al. Calcium phosphate ceramic surface coating via precipitation approach. IOP Conference Series: Materials Science and Engineering. 2019;525:012101. https://doi.org/10.1088/1757-899X/525/1/012101.
- Сергеева Н.С., Шанский Я.Д., Свиридова И.К., и др. Биологические эффекты тромбоцитарного лизата при добавлении в среду культивирования клеток человека. Гены и клетки. 2014;9(1):77-85. [Sergeeva NS, Shansky YaD, Sviridova IK, et al. Biological effects of platelet lysate added to cultural medium of human cells. Genes and cells. 2014;9(1):77-85. (In Russ.)]
- Шанский Я.Д., Сергеева Н.С., Свиридова И.К., и др. Исследование лизата тромбоцитов человека как перспективной ростовой добавки для культивирования стволовых и других типов клеток. Клеточные технологии в биологии и медицине. 2013;3:153-158. [Shansky YaD, Sergeeva NS, Sviridova IK, et al. Study of human platelet lysate as a promising growth additive for the cultivation of stem and other types of cells. Kletochnyye tekhnologii v biologii i meditsine. 2013;3:153-158. (In Russ.)]
- Ferraro MJ. Performance standards for antimicrobial susceptibility testing: Ninth informational supplement. NCCLS document M100-S9. 1999;19(1):104.
- Methods for the determination of susceptibility of bacteria to antimicrobial agents. EUCAST Definitive document. Clin Microbiol Infect. 1998;4:291-296.
- Stigter M, Bezemer J, de Groot K, Layrolle P. Incorporation of different antibiotics into carbonated hydroxyapatite coatings on titanium implants, release and antibiotic efficacy. J Controll Release. 2004;99(1):127-137. https://doi.org/10.1016/j.jconrel.2004.06.011.
- Комлев В.С., Федотов А.Ю., Тетерина А.Ю. и др. Способ получения композиционного трехмерного каркаса для замещения костно-хрящевых дефектов. Патент на изобретение РФ RU 2606041 C2; 2017. [Komlev VS, Fedotov AYu, Teterina AYu, et al. Method of producing composite 3D frame for replacement of bone-cartilage defects. Patent RU 2606041 C2; 2017. (In Russ.)]
- Komlev VS, Barinov SM, Bozo II, et al. Bioceramics composed of octacalcium phosphate demonstrate enhanced biological behavior. ACS Appl Mater Interfaces. 2014;6:16610-16620. https://doi.org/10.1021/am502583p.
Supplementary files












