Surgical outcomes in patients with spinal deformities associated with neurological deficit
- Authors: Kuleshov A.A.1, Nazarenko A.G.1, Krupatkin A.I.1, Militsa I.M.1, Vetrile M.S.1, Strunina U.V.2, Makarov S.N.1, Lisyansky I.N.1, Sharov V.A.1
-
Affiliations:
- N.N. Priorov National Medical Research Center of Traumatology and Orthopaedics
- N.N. Burdenko National Medical Research Center of Neurosurgery
- Issue: Vol 32, No 2 (2025)
- Pages: 361-374
- Section: Original study articles
- Submitted: 18.02.2025
- Accepted: 10.03.2025
- Published: 22.07.2025
- URL: https://journals.eco-vector.com/0869-8678/article/view/656745
- DOI: https://doi.org/10.17816/vto656745
- EDN: https://elibrary.ru/NHRTEA
- ID: 656745
Cite item
Abstract
BACKGROUND: The surgical treatment in patients with spinal deformities associated with neurological deficit remains a subject of debate. Existing research is mostly limited to case-control studies or case series, with no statistical assessment of treatment outcomes. The absence of a standardized surgical approach and the scarcity of statistically significant outcome data highlight the relevance of further research into this topic.
AIM: The work aimed to assess treatment efficacy in patients with spinal deformities associated with neurological deficit.
METHODS: A retrospective analysis of surgical treatment outcomes was conducted in 51 patients with spinal deformities associated with neurological deficit. Patients were divided into three groups based on the surgical technique used. All patients underwent standard diagnostic examinations. Based on CT myelography findings, individualized 3D models of the spine and spinal cord were created (n = 23), and customized implants were manufactured (n = 8). Patient questionnaires were used, and neurological status was assessed using the Frankel, ASIA, and FIM scales.
RESULTS: A significant regression of neurological deficit was observed in patients classified as Frankel B, C, or D. Motor function improved within days after surgery, whereas sensory function improved on average within six months. Spinal cord decompression at the site of maximal stenosis was found to be a key factor influencing neurological deficit regression.
CONCLUSION: Postoperative neurological deficit regression is determined by its severity and duration prior to surgery, as well as adequate spinal cord decompression at the site of maximal spinal stenosis. Patient-specific 3D models of the spine and spinal cord are a valuable tool for assessing local spinal cord compression.
Full Text
BACKGROUND
Progression of scoliotic and kyphotic spinal deformities leads to spinal canal stenosis localized at the apex of the deformity. Stenosis causes direct mechanical compression of the spinal cord at the deformity apex, impaired microcirculation of myeloradicular structures, and tension of the spinal cord membranes. This results in myelopathy at the deformity apex. Spinal cord compression manifests as neurological deficit of varying severity, leading to patient disability [1, 2]. The average incidence of vertebrogenic myelopathies in kyphosis is 21.1%. The incidence of neurological complications exceeds 66% in vertebral body agenesis, reaches 33% in hypogenesis, and amounts to 20% in hypoplasia. Combined kyphosogenic malformations are accompanied by myelopathy in 30.8% of cases [3]. Statistical data on neurological deficit in idiopathic spinal deformities are lacking in the scientific data.
The primary objective of surgical treatment for neurologically complicated spinal deformities is decompression of the spinal cord at the deformity apex. The goal of direct correction of spinal deformity in the coronal or sagittal plane becomes secondary. A review of the scientific data identifies surgical approaches based on ventral, dorsal, or combined access [4, 5].
In scientific data, approaches to surgical treatment of patients with neurologically complicated kyphoscoliotic deformities of the spine remain unsystematized, both with and without instrumentation. Most studies on this topic are case–control studies or case series without statistical analysis of treatment outcomes [6, 7].
The work aimed to evaluate the efficacy of surgical treatment methods in patients with spinal deformities associated with neurological deficit.
METHODS
Study Design
It was a retrospective, observational, single-center, controlled study.
Study Setting
The study was carried out at the N.N. Priorov National Medical Research Center of Traumatology and Orthopedics.
Eligibility Criteria
Inclusion criteria:
- neurological deficit caused by spinal cord compression associated with spinal deformity
- availability of imaging data before and after surgical treatment
- availability of neurological status data before and after surgical treatment.
Non-inclusion criteria:
- neurological deficit and spinal deformity resulting from acute spinal trauma
- neurological deficit caused by brain condition
- spinal and spinal cord neoplasms
- neuromuscular spinal deformities.
Study Duration
The study was conducted from October 2022 to February 2025.
Intervention and Subgroup Analysis
Patients were examined preoperatively, postoperatively (at 2 weeks), and at 6, 12, and 18 months.
All patients underwent a general clinical examination with a detailed assessment of neuro-orthopedic status. Diagnostic studies included radiographs of the spine in two projections, computed tomography (CT), and magnetic resonance imaging (MRI) of the spine. CT myelography was performed to clarify and provide volumetric visualization of the site of spinal cord compression.
In order to plan the site, area, and extent of spinal resection, as well as the locations and trajectories of screw placement, full-scale anatomical models of the spine and myeloradicular structures were created from plastic on a 3D printer, based on CT myelography data (Fig. 1). For the ventral stage of surgery, customized implants were manufactured for 8 patients.
Fig. 1. Anatomical life-size 3D model of the spine (yellow) and spinal cord (red) at the Th6–Th10 level in a patient with the following diagnosis: Hereditary neuropathy (Charcot–Marie–Tooth disease type 4C). Neurogenic left-sided thoracic kyphoscoliosis, grade IV. Spinal cord compression at Th6–Th9. Lower mixed deep paraparesis: a, posterior view; b, c, sagittal views of the model in disassembled configuration. The blue oval indicates the zone of greatest compression of the myeloradicular structures at the level of Th6-9, caused by the radixes of the arches, costotransverse joints, and heads of the ribs on the concave side of the deformity.
Depending on the main method of spinal cord decompression, patients were divided into three groups.
- Patients in group 1 underwent surgical treatment, the main components of which were ventral decompression, stabilization, and minimal correction of the spinal deformity.
- Patients in group 2 underwent surgical treatment, the main component of which was indirect decompression of the spinal cord through instrumental correction and fixation of the deformity.
- In group 3, the main component of surgical treatment was posterior and/or posterolateral decompression of the spinal canal with subsequent stabilization.
Study Outcomes
The primary endpoints of the study were the severity of spinal canal stenosis and spinal cord compression after surgical intervention, as well as the patient’s neurological status.
Outcomes Registration
To objectively evaluate spinal canal stenosis and spinal cord compression, the relative degree of stenosis (K%) was calculated based on diagnostic imaging data (CT, MRI, and CT myelography), both before and after surgery. The K% was measured in the sagittal plane using the following formula:
K% = (A − B) / A × 100%,
where A is the sagittal diameter of the spinal cord in the neutral zone (mm), and B is the sagittal diameter of the spinal cord at the site of maximal compression (mm) at the deformity apex (Fig. 2) [8].
Fig. 2. Computed tomography (sagittal slice) of the thoracic spine in a patient with the following diagnosis: Congenital thoracic kyphoscoliosis, grade IV. Spinal stenosis at Th4–Th5. Cervicothoracic myelopathy: upper mixed distal paraparesis, lower spastic paraparesis: a, preoperative CT myelography; b, postoperative CT of the spine; line 1: cross-sectional area of the spinal cord in the neutral zone (cm²); line 2: cross-sectional area of the spinal cord at the site of maximal compression (mm²) at the apex of the deformity. Compression ratio (CR): preoperative, 79.6%; postoperative, 61.2%. .
Neurological status was assessed before and after surgery using the Frankel scale (Frankel, 1969) and the American Spinal Injury Association (ASIA) scale. For statistical analysis, the categorical Frankel scale was converted into a numerical scale: A = 1, B = 2, C = 3, D = 4, E = 5.
Changes in neurological status on the ASIA scale were evaluated using the Hirobayashi recovery rate (Hirobayashi RR, %). Hirobayashi RR, %, was calculated according to the formula:
,
where M is the maximum score of the scale. M = 100 for ASIA motor, and M = 112 for ASIA sensory/pain.
Functional independence was assessed using the Functional Independence Measure (FIM) [9].
Ethics Approval
The study protocol was approved by the Local Ethics Committee (meeting No. 7 of August 5, 2021). All patients (or their legal representatives) voluntarily signed an informed consent form prior to inclusion in the study.
Statistical Analysis
Statistical data processing was performed using the R statistical programming language (version 4.3.1) in the integrated development environment RStudio (version 2023.09.0). The Wilcoxon nonparametric test was applied to compare two dependent samples. Analysis of two-factor randomized block designs with a binary variable was performed using Cochran’s Q test. Differences between mean values were assessed with Friedman’s test for related samples. Correlation analysis of quantitative variables was carried out using Spearman’s rank correlation. In all statistical tests, the null hypothesis was rejected at a significance level of p < 0.05, corresponding to a 95% confidence interval.
RESULTS
Participants
In the study, patients (n = 51) with scoliotic (n = 8; 15.7%), kyphotic (n = 26; 51%), and kyphoscoliotic (n = 17; 33.3%) spinal deformities associated with neurological deficit were included (Fig. 3). Among them, 25 patients (49%) were male and 26 (51%) were female. Patients were divided into two age groups. The first group comprised 39 patients under 18 years of age, with a mean age of 10.5 ± 4.4 years. The second group included 12 patients over 18 years of age, with a mean age of 26 ± 12.5 years. The age distribution of patients is shown in Fig. 4.
Fig. 3. Distribution of patients by type of spinal deformity.
Fig. 4. Distribution of patients by age.
In 23 cases, due to the severity of deformity and spinal cord compression, additional methods of pathological site visualization were required.
The apex of the kyphotic deformity was most commonly localized at the levels of C3, Th5, Th12, and L1 vertebrae. The apex of the scoliotic deformity was predominantly located in the thoracic region (Th5–Th6). The apex of the kyphoscoliotic deformity was identified at Th4, Th8, Th5, and L1 (see Table 1).
Table 1. Distribution of patients by apex and type of spinal deformity
Kyphosis (n = 26) | Scoliosis (n = 8) | Kyphoscoliosis (n = 17) | |||
Apex | Number of patients | Apex | Number of patients | Apex | Number of patients |
С3 | 3 | Th3 | 1 | Th2 | 1 |
С4 | 1 | Th5 | 2 | Th4 | 3 |
С5 | 2 | Th6 | 2 | Th5 | 2 |
С7 | 2 | Th10 | 1 | Th6 | 1 |
Th1 | 2 | С4 | 1 | Th7 | 1 |
Th3 | 1 | C7 | 1 | Th8 | 3 |
Th4 | 1 | Th9 | 1 | ||
Th5 | 2 | Th10 | 1 | ||
Th5-8 | 1 | L1 | 2 | ||
Th7 | 1 | Т12 | 1 | ||
Th9 | 2 | С4 | 1 | ||
Th11 | 1 | C7 | 1 | ||
Th12 | 3 | ||||
Th12-L1 | 1 | ||||
L1 | 2 | ||||
L2 | 1 | ||||
Most patients (n = 43) underwent multistage surgical treatment. Depending on the main method of spinal cord decompression, three patient groups were distinguished.
Group 1 included patients (n = 18):
- with anterior spinal cord compression.
- with localized angular spinal deformity.
- with deformity that developed and progressed due to impaired formation or development of the anterior spinal column.
The etiology of deformities in this cohort was represented by congenital anomalies of the cervicothoracic (n = 6), thoracic (n = 8), and lumbar (n = 4) spine. In 7 patients, spinal deformity was associated with cervicothoracic inclination syndrome (n = 3), mucopolysaccharidosis types I and VI (n = 2), progeria (n = 1), and neurofibromatosis (n = 1). The morphological characteristics of the deformities predominantly included a kyphotic component (n = 14). Scoliotic and kyphoscoliotic components were observed in isolated cases (n = 1 and n = 1, respectively).
- In five clinical cases, a three-stage surgical treatment was performed. The first stage consisted of halo-pelvic traction. The second stage involved dorsal fixation with minimal deformity correction. The second stage involved dorsal fixation with minimal deformity correction. The concept of minimal deformity correction included correction achieved by patient positioning on the operating table under anesthesia, as well as by tension of the inserted rods. Since rods cannot be modeled with absolute precision to match the deformity, residual tension provides slight corrective force. The final stage consisted of ventral vertebral body resection at the deformity apex, anterior spinal cord decompression, and ventral fixation.
- In nine cases, a two-stage surgical treatment was performed. These patients predominantly presented with kyphotic deformities localized in the lower thoracic or thoracolumbar spine. The deformity apex was located between Th5 and L1 in eight patients and at C5 in one case. The first stage of surgical treatment involved transpedicular fixation with minimal deformity correction. The second stage included vertebral body resection with subsequent spinal canal decompression and defect replacement using a mesh titanium cage.
- In four patients, a single-stage treatment was performed, which included ventral decompression of the spinal canal with resection of vertebral bodies at the deformity apex and ventral fixation. In two of these cases, an individualized plate and plate-cage had to be manufactured.
Patients in group 2 (n = 12) demonstrated the following features:
- a long-segment kyphotic or scoliotic spinal deformity
- spinal canal stenosis caused by the anterior column of the spine
- absence of anterior column abnormalities.
Kyphosis was diagnosed in 5 patients, kyphoscoliosis was diagnosed in 2 patients, and scoliosis was diagnosed in 5 patients. Spinal deformity was related to achondroplasia in one patient, to Klippel–Feil syndrome in two patients, to neurofibromatosis in five patients and to congenital spinal anomalies in four patients, including one case of thoracocervical inclination. At the first stage, all patients underwent halo-pelvic traction, followed by dorsal correction and fixation of the deformity at the second stage. In two cases, ventral fixation was additionally required to achieve 360° spondylodesis in order to reduce the risk of dorsal instrumentation instability.
Patients from group 3 (n = 21) had the following features:
- a long-segment spinal deformity
- spinal cord compression due to posterior or posterolateral spinal structures
- absence of anterior column abnormalities.
Kyphosis was observed in 7 patients, kyphoscoliosis was observed in 12 patients, and scoliosis was observed in 2 patients. In some cases, the deformity developed due to Jarcho–Levin syndrome, diastematomyelia, achondroplasia, spondyloepiphyseal dysplasia, Charcot–Marie–Tooth disease, Morris syndrome, and in four cases, it was related to neurofibromatosis. Seven patients underwent two-stage surgery: the first stage involved halo-traction, and the second stage included spinal canal decompression or remodeling with posterior fixation of the deformity. The remaining patients underwent single-stage surgery, which included spinal canal decompression and posterior fixation of the deformity with minimal correction.
Primary Results
Application of the nonparametric Friedman test revealed statistically significant (p < 0.001) regression of neurological deficit before and after surgery in all study groups, as assessed by the ASIA scale (tactile, pain, and motor functions). Group 1 demonstrated a stronger correlation for ASIA motor (p < 0.000204) and pain (p < 0.000205) scores during the 6–12-month postoperative period. However, for ASIA tactile scores, a statistically significant association was noted only within the 12–24-month interval.
Group 2 demonstrated a statistically significant positive trend in neurological status (p < 0.028), though without significant differences across follow-up periods, which was due to the absence of severe preoperative neurological deficit.
In Group 3, a statistically significant association was identified for postoperative motor function (p < 0.00013), which increased by the 6th month and persisted up to the 24th month (p < 0.000061). Similar findings were observed for tactile and pain functions according to the ASIA scale.
Application of the Friedman test also demonstrated a statistically significant association between functional independence and neurological status changes, as assessed by the FIM scale, in groups 1 and 3 (p < 0.000212 and p < 0.000190, respectively). In group 2, a statistically significant but less pronounced association was observed (p < 0.037), persisting throughout all study stages, which was explained by the initially high functional status of this group.
Use of Cochran’s Q test revealed a statistically significant correlation of neurological status changes according to the Frankel scale across all study groups after treatment. Results are presented in Tables 2 and 3.
Table 2. Changes in neurological status by age and duration of neurological deficit prior to surgery
Patient group | Number of patients | Duration of neurological deficit, months | Age, years | Frankel score before surgery | Frankel score 18 months after surgery | ||
First | 18 | 22.4±16.3 | 11.2±7.8 | 3.4±1.2 | 4.7±0.5 | ||
Second | 12 | 14.8±8.5 | 13.3±6.9 | 3.7±0.9 | 4.8±0.5 | ||
Third | 21 | 25.1±15.6 | 16.8±8.7 | 3.5±1.0 | 4.6±0.6 | ||
Frankel score before surgery | Number of patients | Mean duration of deficit (months) | Number of patients restored to Frankel B (18 months) | Number of patients restored to Frankel C (18 months) | Number of patients restored to Frankel D (18 months) | Number of patients restored to Frankel E (18 months) | |
Patients under 18 years (n=39) | |||||||
B | 10 | 18.5±6.2 | – | 2 | 3 | 5 | |
C | 12 | 16.2±5.8 | – | – | 2 | 10 | |
D | 15 | 12.8±4.5 | – | – | 1 | 14 | |
E | 2 | 8.5±3.1 | – | – | – | 2 | |
Patients over 18 years (n=12) | |||||||
B | 4 | 30.5±8.7 | – | 1 | 2 | 1 | |
C | 4 | 28.7±7.9 | – | – | 2 | 2 | |
D | 4 | 24.5±6.4 | – | – | – | 4 | |
E | 0 | – | – | – | – | – | |
Table 3. Mean Hirobayashi RR (%) values for motor, tactile, and pain function after surgical intervention
Group | Motor function | Tactile function | Pain function |
Group 1 (n=18) | 85.2 | 95.6 | 96.1 |
Group 2 (n=12) | 68.3 | 85.2 | 86.1 |
Group 3 (n=21) | 78.4 | 90.3 | 91.2 |
p | 0.012 | 0.045 | 0.038 |
With Spearman’s rank correlation coefficient, a statistically significant relationship was established in group 1, demonstrating the influence of the initial cross-sectional area of the spinal cord at the site of maximal compression at the deformity apex on the recovery of tactile and pain functions (p < 0.0415), as assessed by the ASIA scale, in the early postoperative period within the first 6 months (p < 0.0329). In addition, a statistically significant association was found between the initial cross-sectional area of the spinal cord at the site of maximal compression at the deformity apex and the recovery of motor function in the late postoperative period within 24 months (p < 0.0305). No statistically significant associations were revealed in group 2.
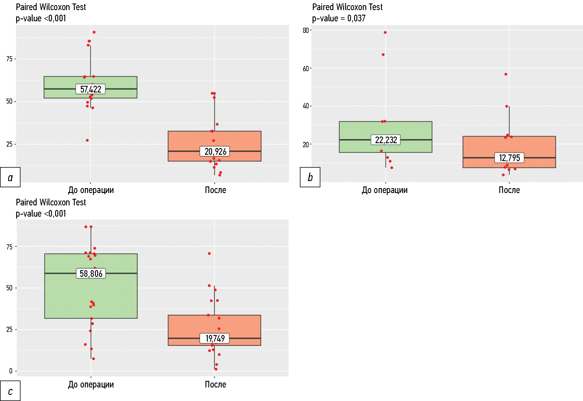
The relative degree of stenosis (K%) was calculated and analyzed using the Wilcoxon test by groups before and after surgical treatment (Fig. 5).
Fig. 5. Boxplot of the relative spinal stenosis ratio (CR%) before and after surgery: a, Group 1; b, Group 2; c, Group 3.
It was noted that in patients of groups 2 and 3, the initial cross-sectional area of the spinal cord at the site of maximal compression at the deformity apex correlated with the changes of motor and tactile functions during the first 6–12 months after surgery (p < 0.0355).
In group 3, an association was identified between postoperative changes in the kyphotic angle and the changes of motor (p < 0.0384), tactile (p < 0.0142), and pain (p < 0.0366) functions according to the ASIA scale. In group 2, a statistically significant association was also found between changes in the kyphotic angle and neurological status changes, but only concerning tactile and pain functions on the ASIA scale (p < 0.00562). This effect is explained by the less pronounced baseline neurological deficit and the absence of direct decompression of the spinal canal.
In group 1, a positive correlation was identified between changes in the kyphotic angle and the degree of functional independence of the patient before and after surgery. The results are presented in Fig. 6.
Fig. 6. Correlation matrix of functional independence parameters (vertical axis) and kyphotic deformity correction angle (horizontal axis).
In all groups, a correlation was identified between the trends of motor function recovery on the ASIA scale and functional status on the FIM scale immediately after surgery and during the first 6–12 months of follow-up (p < 0.001).
An analysis was conducted to evaluate the relationship between the duration of neurological deficit (in months) prior to surgery and the trends of its recovery after surgery. Neurological manifestations were classified as severe (corresponding to groups A, B, and C on the Frankel scale) and mild (corresponding to groups D and E on the Frankel scale). This division was made because the overall cohort included patients with neurological deficits that did not significantly affect functional activity. The division into two conditional groups of neurological deficit is explained by the fact that patients of groups D and E on the Frankel scale had high baseline neurological status and, therefore, postoperative neurological status indicators (according to the ASIA scale) also remained high.
In pediatric patients (< 18 years) included in the study cohort, a significant correlation was found between the duration of severe neurological deficit and the degree of its recovery 18 months after surgery (Fig. 7).
Fig. 7. Correlation matrix of the relationship between neurological deficit duration (horizontal axis) and neurological status (vertical axis) in children and young adults (p <0.042).
Attention should be drawn to the strong correlation between the duration of severe neurological deficit and the trends of its recovery in group 3. The influence of deficit duration was particularly evident on the recovery of motor function, assessed by the ASIA scale, as well as on the level of patients’ functional independence assessed by the FIM scale (Figs. 8, 9).
Fig. 8. Correlation matrix of the relationship between neurological deficit duration (horizontal axis) and motor function on the ASIA scale (vertical axis) in Group 3 (p <0.032).
Fig. 9. Correlation matrix of the relationship between neurological deficit duration (horizontal axis) and neurological status on the Frankel scale (vertical axis) in Group 3 (p <0.0077).
In children, the first symptoms of neurological impairment progressed to clinically significant manifestations after an average of 13 months. In contrast, in adults the same manifestations developed more rapidly, within 10 months. Over the subsequent 16 months, neurological status worsened, reaching level C on the Frankel classification and beyond (p < 0.0388).
DISCUSSION
The main objective of surgery in patients with neurologically complicated spinal deformities is to prevent further deterioration and to restore neurological status. Despite advances in surgical techniques for the treatment of spinal deformities with spinal cord compression, the choice of the optimal surgical approach remains a matter of debate [10–12].
In patients with anterior spinal cord compression combined with a local angular spinal deformity due to abnormal formation or development of the anterior column, anterior spinal cord decompression and stabilization with minimal deformity correction are indicated. The stages of surgical treatment were performed in separate operative sessions. Typically, patients underwent dorsal stabilization with minimal deformity correction at the first stage. The first stage of surgical treatment was preceded by halo-traction preparation. Ventral decompression and anterior stabilization of the deformity were performed at the second stage. In situations where ventral compression was present, but anatomical constraints precluded dorsal instrumentation, anterior decompression with anterior fixation of the spinal deformity was performed as an alternative surgical treatment [13].
Correction of deformity and indirect decompression are indicated in patients with a long-segment kyphotic or scoliotic spinal deformity, ventral spinal canal stenosis, but no involvement of the posterior column. The absence of local spinal cord compression, the regression of neurological deficit during stabilization and deformity correction at the stage of halo-traction, as well as consistent postoperative recovery of neurological status and the integrity of the anterior column allow surgeons to avoid direct decompression.
In group of patients with spinal cord compression due to posterior or posterolateral vertebral elements and a long-segment spinal deformity without anterior column defects, posterior or posterolateral spinal cord decompression and stabilization with minimal deformity correction are indicated.
In all study groups, motor function and tactile sensitivity demonstrated one of the earliest positive trends in the recovery of neurological deficit following spinal canal decompression. Recovery was observed within the first 6 months after surgery. Beginning at 6 months and for the following 18 months, pain sensitivity was restored. Recovery of motor function made the greatest contribution to patients’ functional independence as assessed by the FIM scale, which was reflected in improved self-care ability.
The degree of spinal cord compression (K%) had a significant impact on changes in neurological status. In groups 1 and 3, spinal compression severity was greatest, correlating with the degree of neurological deficit. In group 2, the K% value was lower than in groups 1 and 3. These patients initially presented with less severe neurological deficits, and spinal deformity correction (indirect spinal cord decompression) contributed to the preservation of neurological status and reduced the risk of severe neurological deficit.
It should be noted that halo-pelvic traction was used, although in the scientific data this method of treatment is often considered contraindicated in patients with spinal deformities complicated by neurological deficit. During halo-traction, a partial regression of neurological deficit was observed in all patients. Spasticity decreased by 1–2 points on the Ashworth scale, distal limb sensitivity improved, and muscle strength increased by 1–2 points or movements previously absent appeared. This partial regression of neurological disorders during halo-pelvic traction is a favorable prognostic sign. The use of halo-traction demonstrated its effectiveness in achieving partial regression of neurological disorders. The need for halo-pelvic traction was justified by:
- spinal cord compression
- stabilization of the deformity
- achievement of indirect spinal cord decompression due to initial correction of the deformity, reduction of spinal cord sheath tension, and improvement of spinal cord microcirculation
- the need to increase the resistance of vascular and myeloradicular spinal structures to traction during surgery.
Improved perfusion and oxygenation of spinal cord tissues led to clinically observed regression of neurological deficit [11, 14–16].
Analysis of the study results showed that the magnitude of the deformity, namely the kyphotic component, had a significant impact on the development of neurological deficit. These findings are consistent with the scientific publications [17]. This pattern was more pronounced in group 2 patients, who underwent indirect decompression due to correction and stabilization of the spinal deformity. Statistical analysis showed that stabilization and correction of the deformity by 30–40° from baseline created conditions for preventing further deterioration of neurological status and promoting recovery [18–20].
The duration of neurological deficit and patient age influenced neurological recovery after surgery. Clinically significant neurological deficit (Frankel B, C) developed within 14.0 ± 6.7 months in children, and within 27.9 ± 8.3 months in adults after the onset of the first symptoms. This pattern may be explained by the active growth of the spine and, consequently, faster progression of the deformity. It should be emphasized that in all study groups, patients aged 11–20 years (14.2 ± 10.1 years) demonstrated the most active trends in regression of neurological deficit. It was associated with the compensatory capacity of vascular and myeloradicular structures [8].
Objective evaluation of neurological status changes was performed using the Hirobayashi recovery rate (Hirobayashi RR) (%) (see Table 3). Analysis of spinal cord function recovery with the Hirobayashi coefficient revealed that group 1 showed the best recovery outcomes across all three functions (motor, tactile, pain); group 3 demonstrated intermediate outcomes, worse than group 1 but better than group 2; group 2 had the lowest Hirobayashi RR (%) values across all functions. These study results indicate that direct spinal cord decompression exerts a more significant influence on functional recovery.
Individual anatomical models play an important role in planning the surgical approach, defining resection areas, and localizing transpedicular screw insertion points. Their use enhances the accuracy of preoperative planning, which is particularly important for determining the volume of vertebral bone resection required for adequate decompression of myeloradicular structures. Spatial visualization of neurovascular structures minimizes the risk of their injury during resection and implant placement, thereby contributing to the personalization of the decompression zone. As a result, the main goal of surgery is achieved—regression of neurological deficit with positive functional outcomes [21]. The use of 3D models ensures a realistic anatomical representation of pathological regions, which contributes to a more accurate understanding of complex anatomical relationships, the determination of optimal screw insertion trajectories, and the volume of decompression. This is especially relevant in severe spinal deformities, where standardized approaches may be limited. For instance, in cervicothoracic deformities, achieving a 360° spondylodesis often requires an individualized approach. If dorsal stabilization can be performed using standard implants, ventral fixation is frequently associated with technical challenges or with the impracticality of using standard plates. In such cases, the manufacture of customized implants for ventral stabilization ensures reliable fixation even in the presence of complex anatomical deformities [1, 22].
CONCLUSION
Neurological deficit regression in patients with spinal deformities occurs within the first year after surgery. This ensures patients’ ability to perform self-care in daily life and improves their quality of life. No neurological regression was observed only in patients classified as Frankel grade A. Stabilization of the deformity and spinal cord decompression at the site of maximal compression (at the deformity apex) are the main components providing the conditions for neurological recovery. Deformity correction, particularly of the kyphotic component, influences neurological deficit regression. In pediatric and young patients, neurological deficit develops more rapidly, but likewise regresses more quickly after surgery. The creation of individualized spinal cord and spine models in 45% of cases and customized implants in 16% of patients confirms the necessity of a personalized approach to surgical treatment in a significant portion of this cohort.
Thus, the study confirms the importance and effectiveness of surgical intervention in spinal deformities associated with neurological deficit, highlighting key factors influencing treatment success and patient recovery. Individualized anatomical models and implants contribute to improved surgical planning accuracy, minimized risks, and better functional outcomes.
ADDITIONAL INFORMATION
Author contributions: All the authors approved the final version of the manuscript to be published and agreed to be accountable for all aspects of the work, ensuring that questions related to the accuracy or integrity of any part of the work are appropriately investigated and resolved.
Funding sources: No funding.
Disclosure of interests: The authors have no relationships, activities, or interests (personal, professional, or financial) related to for-profit, not-for-profit, or private third parties whose interests may be affected by the content of the article, as well as no other relationships, activities, or interests in the past three years to disclose.
Statement of originality: Previously published materials were used to prepare this article (https://doi.org/10.17816/vto629012).
Generative AI: No generative artificial intelligence technologies were used to prepare this article.
Provenance and peer-review: This paper was submitted unsolicited and reviewed following the standard procedure. The peer review process involved two external reviewers, a member of the editorial board, and the in-house scientific editor.
About the authors
Alexander A. Kuleshov
N.N. Priorov National Medical Research Center of Traumatology and Orthopaedics
Email: cito-spine@mail.ru
ORCID iD: 0000-0002-9526-8274
SPIN-code: 7052-0220
MD, Dr. Sci. (Medicine)
Russian Federation, 10 Priorova st, Moscow, 127299Anton G. Nazarenko
N.N. Priorov National Medical Research Center of Traumatology and Orthopaedics
Email: nazarenkoag@cito-priorov.ru
ORCID iD: 0000-0003-1314-2887
SPIN-code: 1402-5186
Corresponding Member of the Russian Academy of Sciences, MD, Dr. Sci. (Medicine), professor of RAS
Russian Federation, 10 Priorova st, Moscow, 127299Alexander I. Krupatkin
N.N. Priorov National Medical Research Center of Traumatology and Orthopaedics
Email: krup.61@mail.ru
ORCID iD: 0000-0001-5582-5200
SPIN-code: 3671-5540
MD, Dr. Sci. (Medicine), professor
Russian Federation, 10 Priorova st, Moscow, 127299Igor M. Militsa
N.N. Priorov National Medical Research Center of Traumatology and Orthopaedics
Author for correspondence.
Email: igor.milica@mail.ru
ORCID iD: 0009-0005-9832-316X
SPIN-code: 4015-8113
MD
Russian Federation, 10 Priorova st, Moscow, 127299Marchel S. Vetrile
N.N. Priorov National Medical Research Center of Traumatology and Orthopaedics
Email: vetrilams@cito-priorov.ru
ORCID iD: 0000-0001-6689-5220
SPIN-code: 9690-5117
MD, Cand. Sci. (Medicine)
Russian Federation, 10 Priorova st, Moscow, 127299Uliya V. Strunina
N.N. Burdenko National Medical Research Center of Neurosurgery
Email: ustrunina@nsi.ru
ORCID iD: 0000-0001-5010-6661
SPIN-code: 9799-5066
MD
Russian Federation, MoscowSergey N. Makarov
N.N. Priorov National Medical Research Center of Traumatology and Orthopaedics
Email: moscow.makarov@gmail.com
ORCID iD: 0000-0003-0406-1997
SPIN-code: 2767-2429
MD, Cand. Sci. (Medicine)
Russian Federation, 10 Priorova st, Moscow, 127299Igor N. Lisyansky
N.N. Priorov National Medical Research Center of Traumatology and Orthopaedics
Email: lisigornik@list.ru
ORCID iD: 0000-0002-2479-4381
SPIN-code: 9845-1251
MD, Cand. Sci. (Medicine)
Russian Federation, 10 Priorova st, Moscow, 127299Vladislav A. Sharov
N.N. Priorov National Medical Research Center of Traumatology and Orthopaedics
Email: sharov.vlad397@gmail.com
ORCID iD: 0000-0002-0801-0639
SPIN-code: 8062-9216
MD, Cand. Sci. (Medicine)
Russian Federation, 10 Priorova st, Moscow, 127299References
- Goel SA, Neshar AM, Chhabra HS. A rare case of surgically managed multiple congenital thoraco-lumbar and lumbar block vertebrae with kypho-scoliosis and adjacent segment disease with myelopathy in a young female. Journal of Clinical Orthopaedics and Trauma. 2020;11(2):291–294. doi: 10.1016/j.jcot.2019.04.017
- Matee S, Ayaz SB, Bashir U. Progressive thoracic kyphoscoliosis leading to paraplegia in a child with neurofibromatosis type-1. Journal of the College of Physicians and Surgeons Pakistan. 2021;31(1):98–100. doi: 10.29271/jcpsp.2021.01.98
- Ulrikh EV, Mushkin AYu, Gubin AV. Congenital spine deformities in children: epidemiological prognosis and management. Russian Journal of Spine Surgery. 2009;(2):055–061. doi: 10.14531/ss2009.2.55-61
- Novikov VV, Kolesov SV, Ryabykh SO, et al. Surgical management of neurologically complicated kyphoscoliosis using transposition of the spinal cord: Case report. International Journal of Surgery Case Reports. 2016;27:13–17. doi: 10.1016/j.ijscr.2016.07.037
- Sugimoto Y, Ito Y, Tomioka M, et al. Cervical cord injury in patients with ankylosed spines: Progressive paraplegia in two patients after posterior fusion without decompression. Spine. 2009;34(23):E861–E863. doi: 10.1097/BRS.0b013e3181bb89fc
- Lonstein JE, Akbarnia BA, Boachie-Adjei O, et al. Neurologic deficits secondary to spinal deformity: A review of the literature and report of 43 cases. Spine. 1980;5(4):331–355. doi: 10.1097/00007632-198007000-00007
- Song KS, Chang BS, Yeom JS, et al. Surgical treatment of severe angular kyphosis with myelopathy: Anterior and posterior approach with pedicle screw instrumentation. Spine. 2008;33(11):1229–1235. doi: 10.1097/BRS.0b013e31817152b3
- Shamji MF, Ames CP, Smith JS, et al. The association of cervical spine alignment with neurologic recovery in a prospective cohort of patients with surgical myelopathy: Analysis of a series of 124 cases. World Neurosurgery. 2016;86:112–119. doi: 10.1016/j.wneu.2015.09.044
- Khokhlova O.I. Rehabilitation potential of personality and functional independence of persons with traumatic spinal cord injury. Politravma. 2020;(3):100–107. doi: 10.24411/1819-1495-2020-10038 EDN: CLWSXA
- Maxwell AKE. Spinal cord traction producing an ascending, reversible, neurological deficit: Case report. Verhandlungen der Anatomischen Gesellschaft. 1967;115:49–69.
- Ransohoff J, Spencer F, Siew F, et al. Case reports and technical notes. Journal of Neurosurgery. 1969;31:459–461.
- Vetrile ST, Kuleshov AA. Surgical treatment of severe progressive forms of scoliosis: simultaneous intervention on the ventral and dorsal spine using instrumentation Cotrel-Dubousset. N.N. Priorov Journal of Traumatology and Orthopedics. 2000;7(3):14–20. (in Russ.).
- Kuleshov AA, Vetrile MS, Lisyansky IN, et al. Urgical treatment of a patient with congenital deformity of the spine, the thoracic and lumbar pedicle aplasia, and spinal compression syndrome. Russian Journal of Spine Surgery. 2016;13(3):41–48. doi: 10.14531/ss2016.3.41-48 EDN: WKYPBR
- Ailon T, Smith JS, Shaffrey CI, et al. Progressive spinal kyphosis in the aging population. Neurosurgery. 2015;77(Suppl 4):S164–S172. doi: 10.1227/NEU.0000000000000944
- Dommisse GF. The blood supply of the spinal cord: A critical vascular zone in surgery. The Journal of Bone and Joint Surgery. 1974;56(2):225–235.
- Kleinberg S, Kaplan A. Scoliosis complicated by paraplegia. The Journal of Bone and Joint Surgery. 1952;34-A(1):162–7.
- Masini M, Maranhão V. Experimental determination of the effect of progressive sharp-angle spinal deformity on the spinal cord. European Spine Journal. 1997;6(2):89–92. doi: 10.1007/BF01358738
- McMaster MJ, Singh H. Natural history of congenital kyphosis and kyphoscoliosis: A study of one hundred and twelve patients. The Journal of Bone and Joint Surgery. American Volume. 1999;81(10):1367–1383. doi: 10.2106/00004623-199910000-00002
- Saito M. Anterolateral decompression for thoracic myelopathy due to severe kyphosis using the costotransversectomy approach. Rinsho Seikei Geka. 1997;32:523–530.
- Shimode M, Kojima T, Sowa K. Spinal wedge osteotomy by a single posterior approach for correction of severe and rigid kyphosis or kyphoscoliosis. Spine. 2002;27(20):2260–2267. doi: 10.1097/00007632-200210150-00015
- Wilcox B, Smith JA, Brown MJ, et al. Systematic review of 3D printing in spinal surgery: The current state of play. Journal of Spine Surgery. 2017;3(3):433–443. doi: 10.21037/jss.2017.09.01
- Borzunov DYu, Shevtsov VI, Stogov MV, Ovchinnikov EN. Analysis of the experience of carbon nanostructured implants use in traumatology and orthopaedics. N.N. Priorov Journal of Traumatology and Orthopedics. 2016;(2):77–81. EDN: WGESGN
Supplementary files












