Comparative evaluation of the efficacy and safety of combination drugs in wound healing and wound infection control in blast injuries, gunshot injuries, and diabetic foot
- Authors: Parshikov M.V.1, Govorov M.V.1, Yarigin N.V.1, Koshkin A.B.1, Podkosov O.D.2
-
Affiliations:
- Russian University of Medicine
- Moscow City Hospital named after S.P. Botkin
- Issue: Vol 32, No 3 (2025)
- Pages: 644-655
- Section: Original study articles
- Submitted: 16.05.2025
- Accepted: 25.08.2025
- Published: 05.09.2025
- URL: https://journals.eco-vector.com/0869-8678/article/view/679737
- DOI: https://doi.org/10.17816/vto679737
- EDN: https://elibrary.ru/HLBXCK
- ID: 679737
Cite item
Abstract
BACKGROUND: Infected wounds, including those resulting from blast and gunshot injuries as well as diabetic foot, are a significant medical concern due to the high risk of complications and the need for long-term care. Therefore, the search for effective and safe topical therapies remains relevant. We performed a comparative evaluation of the efficacy of selected combination antimicrobial drugs and an antiseptic in treating such wounds, analyzing their effects on tissue regeneration, microbial burden, and clinical outcomes.
AIM: The work aimed to assess the efficacy and safety of dioxomethyltetrahydropyrimidine + lidocaine + ofloxacin, dioxomethyltetrahydropyrimidine + chloramphenicol, and povidone-iodine in the treatment of infected wounds of various etiologies.
METHODS: A single-center, open-label, non-interventional, observational, randomized controlled study was conducted in 60 patients (40 with blast/gunshot injuries and 20 with diabetic foot). Three drug products were selected for comparison: dioxomethyltetrahydropyrimidine + lidocaine + ofloxacin (Oflomelid, Sintez, Russia); dioxomethyltetrahydropyrimidine + chloramphenicol (Levomecol, Nizhpharm, Russia); and povidone-iodine (Betadine, Egis, Hungary). Treatment involved daily wound care throughout the observation period. Treatment outcomes included changes in wound healing (area, depth, exudate volume), pain intensity, and microbiological and biochemical parameters.
RESULTS: Dioxomethyltetrahydropyrimidine + lidocaine + ofloxacin was associated with significantly greater changes in wound healing: reduction in wound area (p < 0.001) and depth (p = 0.008), and decreased exudate volume (72.7% of patients without exudate by visit 4). Pain reduction was also more pronounced in the dioxomethyltetrahydropyrimidine + lidocaine + ofloxacin group (p < 0.001). All therapies effectively suppressed the growth of Staphylococcus aureus; however, combination antimicrobial drugs outperformed the antiseptic by approximately 20%. Laboratory parameters improved in all groups, with antistreptolysin-O levels decreasing more significantly in the dioxomethyltetrahydropyrimidine + lidocaine + ofloxacin group (p = 0.009).
CONCLUSION: All evaluated therapies were effective and safe; however, dioxomethyltetrahydropyrimidine + lidocaine + ofloxacin demonstrated superior results for key outcomes: accelerated wound healing, reduced bacterial load, and improved subjective therapy assessments. This combination drug (antibiotic + regenerative agent + anesthetic) has the potential to become the treatment of choice for complex infected wounds, such as those caused by trauma or diabetic foot.
Full Text
ОБОСНОВАНИЕ
Несмотря на разностороннее развитие современной медицины, раны остаются одной из главных проблем в хирургии вследствие частой встречаемости, а также из-за высоких затрат рабочего времени и материальных ресурсов для их лечения [1]. Инфекция кожи и мягких тканей (ИКМТ) — актуальная проблема хирургов как стационаров, так и амбулаторного звена. В структуре первичных обращений к хирургу поликлиники ИКМТ составляют 70%, в то время как в стационарах они достигают 24–36% и являются наиболее частой причиной сепсиса (44–52% случаев) [2, 3]. Летальность при распространённых гнойно-некротических инфекциях достигает 50% и более [4].
Огнестрельные и взрывные ранения в силу своего механизма и характера являются инфицированными ранами с момента возникновения [5]. Гнойное воспаление сопровождается отёком, болью и нарушением кровоснабжения тканей, что замедляет процесс заживления [6]. В ране могут присутствовать омертвевшие ткани, продукты их гнойного расплавления, что, в свою очередь, замедляет процессы регенерации. Гнойные раны сопровождаются активным размножением патогенных микроорганизмов, что требует применения антибиотиков и антисептиков [7]. Однако выбор препарата может быть затруднён из-за возможной антибиотикорезистентности микроорганизмов. При неправильном или несвоевременном лечении острая гнойная рана может перейти в хроническую форму, что значительно усложняет терапию [8].
Раневой процесс является сложным комплексом ответных реакций организма на повреждение и характеризуется определённой фазностью своего течения, нарушением регенеративных процессов, что связано с гипоксией тканей и микробной колонизацией. Эти факторы приводят к замедлению заживления и частым рецидивам [9].
За последние несколько лет инновационные методы лечения пациентов с осложнёнными повреждениями конечностей после взрывных и огнестрельных ранений активно развиваются. Эти методы включают передовые хирургические и реабилитационные технологии [5]. Для восстановления костных дефектов используются материалы на основе гидроксиапатита, коллагена и других биосовместимых веществ, которые способствуют регенерации тканей; активно применяется 3D-печать для создания индивидуальных имплантатов и каркасов с учётом анатомических особенностей пациента. Применяются тканевая инженерия, биодеградируемые материалы, инъекции обогащённой тромбоцитами плазмы для ускорения заживления ран и восстановления тканей, микро- и реконструктивная хирургия, свободная пластика для восстановления утраченных тканей, включая кожу, мышцы и кости [10].
В то же время местное применение антибактериальных препаратов обладает рядом преимуществ: высокой концентрацией в очаге инфекции, снижением риска развития резистентности, минимизацией системных побочных эффектов и, как следствие, возможностью использования у пациентов с ограничениями для системной терапии [11]. Мази на основе полиэтиленгликоля давно стали золотым стандартом и широко используются в медицине при лечении инфекционных поражений кожи и мягких тканей [12, 13]. Однако при глубоких или затяжных инфекционных процессах при взрывных и огнестрельных повреждениях их роль ограничена и малоизучена.
ЦЕЛЬ
Оценить эффективность и безопасность препаратов на основе полиэтиленгликоля при заживлении ран и купировании раневой инфекции после взрывных и огнестрельных повреждений и при синдроме диабетической стопы.
МАТЕРИАЛЫ И МЕТОДЫ
Дизайн исследования
Проведено одноцентровое открытое неинтервенционное наблюдательное рандомизированное контролируемое исследование с участием 60 пациентов (40 — с взрывными / огнестрельными ранениями, 20 — с синдромом диабетической стопы). Были выбраны три препарата для сравнения: диоксометилтетрагидропиримидин + лидокаин + офлоксацин, Офломелид, производитель — ПАО «Синтез», Россия; диоксометилтетрагидропиримидин + хлорамфеникол, Левомеколь, производитель — ОАО «Нижфарм», Россия, и повидон-йод, Бетадин, производитель — ЗАО «ЭГИС», Венгрия.
Лечение включало ежедневную обработку ран в течение срока наблюдения. Оценивались динамика заживления раны (площадь, глубина, объём экссудации), болевой синдром, микробиологические и биохимические показатели.
Условия проведения и продолжительность исследования
Исследование проведено в клиническом медицинском центре Научно-образовательного клинического института им. Н.А. Семашко Российского университета медицины, г. Москва.
Общая продолжительность исследования составила 4 месяца (с 01.05.2024 по 29.08.2024 г.).
Критерии соответствия
Критерии включения:
- пациенты обоих полов в возрасте от 18 до 70 лет на момент скрининга;
- наличие признаков инфекции кожи и мягких тканей, вызванной взрывным или огнестрельным повреждением, синдромом диабетической стопы;
- наличие добровольного информированного согласия пациента на включение в исследование и публикацию его медицинских данных в научных целях.
Критерии невключения:
- системные заболевания (онкологические, аутоиммунные и др.);
- печёночная недостаточность;
- наличие в анамнезе аллергии или гиперчувствительности к любому из компонентов препарата;
- отказ пациента от участия в исследовании и/или публикации его медицинских данных в научных целях.
Критерии исключения:
- отзыв согласия пациента на включение в исследование и публикацию его медицинских данных в научных целях;
- досрочное прекращение участия пациента в исследовании по медицинским показаниям.
Описание медицинского вмешательства
В асептических условиях выполнялась хирургическая обработка раны, механическим путём удалялись нежизнеспособные ткани и участки некроза. Поверхность обрабатывалась водными антисептическими растворами. Далее осуществлялась обработка один раз в сутки в течение 21±1 дня следующими составами:
- группа 1 — диоксометилтетрагидропиримидин + лидокаин + офлоксацин;
- группа 2 — диоксометилтетрагидропиримидин + хлорамфеникол;
- группа 3 — повидон-йод.
Основной исход исследования
Оценивались жалобы, показатели температуры тела, динамика заживления раны (площадь, глубина, объём экссудации), болевой синдром, микробиологические и биохимические показатели.
Были определены 4 осмотра: 0-й — включение в исследование; 1-й — количественные и качественные оценки раневой поверхности, начало лечения; 2-й и 3-й (промежуточные) — контрольные точки с интервалом 7 дней; 4-й (заключительный) — оценка результатов.
Дополнительные исходы исследования
Вторичная конечная точка, согласно протоколу исследования, включала информацию о нежелательных явлениях, а также субъективной удовлетворённости лечением врача и пациента.
Методы регистрации исходов
Оценка влияния тестируемых лекарственных препаратов на изменение состояния раневой поверхности (в баллах), площади раневой поверхности, глубины раны (по Wagner), степени экссудации, динамику выраженности боли по визуально-аналоговой шкале (ВАШ), динамику бактериальной обсеменённости (количественного значения и высеваемости), изменения параметров клинического анализа крови, данных термометрии.
Анализ в подгруппах
Не проводился.
Этическая экспертиза
Исследование одобрено независимым междисциплинарным комитетом по этической экспертизе клинических исследований (протокол № 11 заседания независимого этического комитета от 16.11.2023 г.).
Статистический анализ
Запланированный размер выборки
Размер выборки предварительно не рассчитывался.
Статистические методы
Для обработки данных использовали описательную статистику — для демографических и клинических характеристик, критерий χ² и точный критерий Фишера — для сравнения долей между группами, многофакторный анализ ANOVA, критерий Вилкоксона (непараметрический) и t-критерий Стьюдента (параметрический) — для оценки изменений внутри групп. Уровень значимости установлен на p <0,05. Все анализы выполнены с использованием специализированного статистического программного обеспечения Medstatistica 10.0.
РЕЗУЛЬТАТЫ
Объекты (участники) исследования
В исследовании приняли участие 60 пациентов с инфицированными ранами (40 — с взрывными / огнестрельными ранениями, 20 — с синдромом диабетической стопы).
Средний возраст пациентов составлял 45,3±12,1 года. Мужчин было 41 (68,3%), женщин — 19 (31,7%). Сроки получения травмы варьировали от 8 дней до 1,5 месяца.
Все включённые в исследование пациенты не имели значимых сопутствующих патологий.
Исходные характеристики ран в группах были сопоставимы (p >0,05) (рис. 1): средняя площадь раны варьировала от 412,6±327,1 до 508,6±377,4 см². Преобладали раны II степени по шкале Wagner (54,5–66,7%), умеренная или обильная экссудация наблюдалась у 59,1–83,3% пациентов.
Рис. 1. Оценка раневой поверхности. Сравнение средних значений, n=60.
Fig. 1. Wound surface assessment. Comparison of mean values, n = 60.
Исходные клинические и биохимические показатели крови были сбалансированы (табл. 1), за исключением уровня С-реактивного белка (p=0,044) и нейтрофилов (×109/л) (p=0,021).
Таблица 1. Клинические и биохимические показатели крови по группам до начала лечения, n=60*
Table 1. Complete blood count and blood chemistry parameters by group before treatment, n = 60*
Показатель | Группа | Число пациентов | М±SD | Ме [min–max] | P* |
Лейкоциты, тыс/мкл | 1 | 22 | 11,5±2,1 | 0,609 | |
2 | 18 | 11,1±2,7 | |||
3 | 20 | 11,9±2,8 | |||
Скорость оседания эритроцитов, мм/ч | 1 | 22 | 28,2±9,3 | 0,423 | |
2 | 18 | 24,4±6,5 | |||
3 | 20 | 24,3±14,8 | |||
Нейтрофилы, ×109/л | 1 | 22 | 8,3±1,5 | 0,021 | |
2 | 18 | 7,0±1,5 | |||
3 | 20 | 6,4±3,3 | |||
С-реактивный белок, мг/л | 1 | 22 | 17,0±9,9 | 0,044 | |
2 | 18 | 12,7±6,1 | |||
3 | 20 | 26,9±28,2 | |||
Антистрептолизин-О, мЕ/мл | 1 | 22 | 122,6±73,9 | 0,385 | |
2 | 18 | 132,3±77,0 | |||
3 | 20 | 158,2±100,5 |
Примечание. * Статистическая значимость различий (p <0,005) определена с помощью однофакторного дисперсионного анализа (ANOVA).
Основные результаты исследования
Проведённый цитологический анализ биоматериала ран показал, что во всех трёх группах пациентов наблюдались схожие параметры клеточного состава, что свидетельствует о сопоставимых воспалительных и регенеративных процессах. Общим для всех групп было преобладание нейтрофилов (в среднем 63–66,5%) при умеренном содержании лимфоцитов (24–27%). Это указывает на типичную картину острого воспаления с активной нейтрофильной инфильтрацией, характерную для инфицированных ран. При этом количество нейтрофилов в поле зрения не имело значимых различий между группами (в среднем 52,5–54,7), что подтверждает однородность исходных данных (см. табл. 1).
Микробиологический анализ экссудата пациентов во всех трёх группах лечения выявил однородную картину бактериального обсеменения. Во всех группах наблюдения был обнаружен золотистый стафилококк (Staphylococcus aureus), который являлся доминирующим возбудителем.
Анализ исходных характеристик болевого синдрома продемонстрировал однородность во всех исследуемых группах, что подтверждается отсутствием статистически значимых различий по показателям ВАШ (78,0±9,4, 76,5±9,1 и 74,9±8,7 соответственно, p >0,05). На фоне лечения выраженность болевого синдрома снижалась во всех трёх группах. В группе 1 при осмотре на 21-й день медиана значений боли по ВАШ уменьшилась с 80,0 мм до нуля (p <0,001). В группе 2 боль снизилась с 76,5 до 34 мм (p <0,001), а в группе 3 — с 76 до 25 мм (p <0,001). Стоит отметить, что до 2-й недели статистических различий между группами выявлено не было (p=0,45 и 0,3 соответственно), однако начиная с 15-го дня снижение боли в группе 1 было статистически значимо более выраженным (средние значения — 38,7 и 17,4 мм против 59,5 и 42,1 мм в группе 2 и 65,0 и 44,3 мм в группе 3; p=0,001). Между группами 2 и 3 различия не отмечались (табл. 2).
Таблица 2. Оценка динамики выраженности боли по ВАШ, состояния и глубины раневой поверхности в ходе исследования, n=60*
Table 2. Changes in pain intensity (VAS), wound condition, and wound depth during the study, n = 60*
Показатель | Группа | Визит 1 M±SD, Ме [min–max] | Визит 2 M±SD, Ме [min–max] | Визит 3 M±SD, Ме [min–max] | Визит 4 M±SD, Ме [min–max] |
ВАШ, мм* | 1 | 78,0±9,4, 80 [61–95] | 56,5±16,5, 59,5 [0–80] | 38,7±16,7, 41 [0–67] | 17,4±20,6, 0 [0–50] |
2 | 76,5±9,1, 76,5 [60–88] | 62,3±9,1, 64,5 [44–77] | 59,5±21,2, 50 [28–69] | 42,1±22,1, 34 [0–9] | |
3 | 74,9±8,7, 76 [60–90] | 60,7±12,5, 61 [40–85] | 65,0±15,0, 54 [13–67] | 44,3±22,2, 25 [0–56] | |
p | 0,45 | 0,3 | 0,001 | 0,001 | |
Состояние раневой поверхности, баллы** | 1 | 18,8±1,6, 19 [16–22] | 16,5±2,3, 16 [11–22] | 15,2±2,0, 15 [11–20] | 12,6±2,1, 12 [11–19] |
2 | 19,6±1,0, 19,5 [18–22] | 17,7±1,5, 17 [16–20] | 16,9±1,8, 16,5 [14–20] | 14,8±2,5, 15 [11–19] | |
3 | 18,7±1,0, 19 [16–20] | 17,2±1,5, 17 [15–19] | 15,0±1,1, 15 [13–17] | 13,3±1,9, 14 [11–16] | |
p | 0,049 | 0,111 | 0,001 | <0,001 | |
Глубина раны, степень по Wagner*** | 1 | 1,82±0,66, 2 [1–3] | 1,77±0,75, 2 [0–3] | 1,36±0,79, 1 [0–3] | 0,64±0,79, 0 [0–2] |
2 | 1,95±0,60, 2 [1–3] | 1,90±0,64, 2 [1–3] | 1,70±0,66, 2 [1–3] | 1,25±1,02, 1 [0–3] | |
3 | 1,78±0,55, 2 [1–3] | 1,67±0,49, 2 [1–23] | 1,39±0,50, 1 [1–2] | 0,78±0,73, 1 [0–2] | |
p | 0,658 | 0,538 | 0,216 | 0,065 |
Примечание. * Тест Вилкоксона: р для групп 1, 2, 3 для всех визитов В2/В1, В3/В1, В4/В1 <0,001; ** тест Вилкоксона: р для групп 1 и 2 для всех визитов В2/В1, В3/В1, В4/В1 <0,001; для группы 3 для визитов В2/В1 = 0,002, В3/В1, В4/В1 <0,001; *** тест Вилкоксона: р для группы 1 для визитов В2/В1 = 0,317, В3/В1 = 0,002, В4/В1 <0,001; для группы 2 для визитов В2/В1 = 0,317, В3/В1 = 0,025, В4/В1 = 0,004; для группы 3 для визитов В2/ В1 = 0,157, В3/В1 = 0,008, В4/В1 = 0,001. ВАШ — визуально-аналоговая шкала боли.
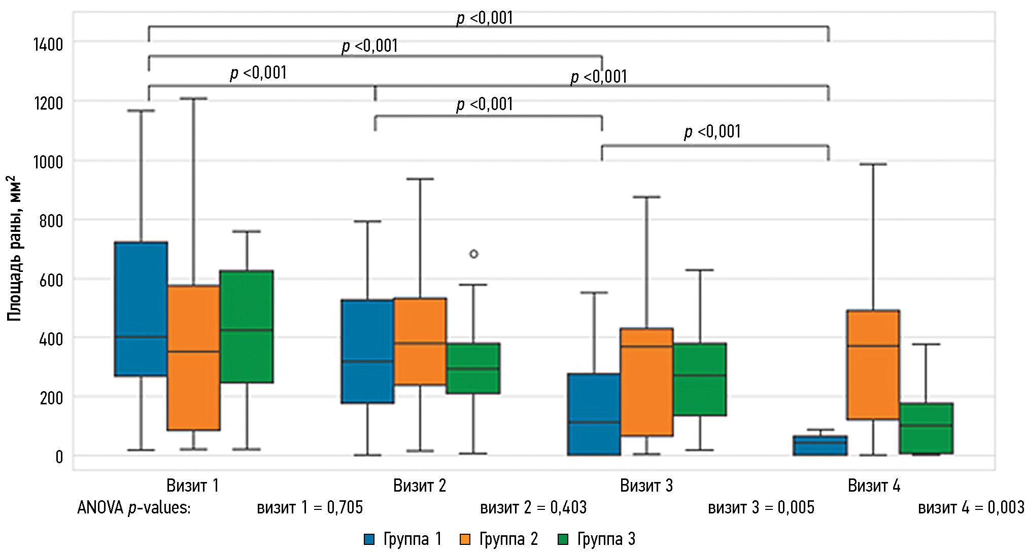
Результаты исследования демонстрируют положительную динамику заживления ран во всех исследуемых группах. В течение первых 7 дней наблюдения статистически значимых различий между группами не отмечалось (p >0,05), что свидетельствует об адекватно назначенной терапии. Однако начиная с 15-го дня лечения (визит 3) группа 1 начала демонстрировать значительное преимущество. По площади раневой поверхности в группе 1 зарегистрировано преимущество в динамике заживления на 14-й и 21-й день (p <0,01 и <0,001 соответственно), более чем у 80% пациентов достигнута полная эпителизация (рис. 2). В то же время в группе 2 сохранялись пациенты с ранами большой площади (максимальный показатель достигал 984,4 мм²). Анализ глубины ран по шкале Wagner (см. табл. 2) выявил, что в группе 1 к 21-му дню наблюдалось максимальное снижение показателя (в среднем на 65% от исходного уровня). В группе 1 уменьшение глубины ран происходило преимущественно на второй неделе лечения, тогда как в первые 7 дней существенных изменений не отмечалось. Группа 3 по всем параметрам занимала промежуточное положение, не показывая статистически значимых отличий от группы 2, но уступая группе 1 (см. табл. 2).
Рис. 2. Динамика площади (мм2) раневой поверхности, n=60.
Fig. 2. Changes in wound surface area (mm2), n = 60.
Степень экссудации также снижалась от визита к визиту во всех группах наблюдения начиная с визита 3 (две недели наблюдения). При этом в первую неделю статистически значимых различий не наблюдалось, в то время как к концу терапии, на визите 4, было выявлено значимое изменение данного показателя: в группе 1 доля пациентов с отсутствием экссудата в ране составила 72,7%, в то время как в группах 2 и 3 — лишь 30 и 50% соответственно (табл. 3).
Таблица 3. Оценка динамики степени экссудации, n=60*
Table 3. Changes in exudate volume, n = 60*
Показатель | Группа | Визит 1, абс./% | Визит 2, абс./% | Визит 3, абс./% | Визит 4, абс./% |
Экссудат отсутствует | 1 | 0/0 | 1/4,5 | 5/22,7 | 16/72,7 |
2 | 0/0 | 0/0 | 0/0 | 6/30 | |
3 | 0/0 | 1/5,6 | 5/27,8 | 9/50 | |
Скудное количество | 1 | 9/40,9 | 8/36,4 | 9/40,9 | 3/13,6 |
2 | 5/25 | 9/45 | 12/60 | 12/60 | |
3 | 3/16,7 | 7/38,9 | 8/44,4 | 7/38,9 | |
Умеренное количество | 1 | 9/40,9 | 10/45,5 | 8/36,4 | 3/13,6 |
2 | 13/65 | 9/45 | 7/35 | 1/5 | |
3 | 13/72,2 | 9/50 | 5/27,8 | 2/11,1 | |
Обильное количество | 1 | 4/18,2 | 3/13,6 | 0/0 | 0/0 |
2 | 2/10 | 2/10 | 1/5 | 1/5 | |
3 | 2/11,1 | 1/5,6 | 0/0 | 0/0 | |
p | 0,321 | 0,925 | 0,005 | 0,0048 |
Примечание. * Тест Вилкоксона: р для группы 1 для визитов В2/В1 = 0,540, В3/В1 = 0,001, В4/В1 <0,001; для группы 2 для визитов В2/В1 = 0,297, В3/В1 = 0,028, В4/В1 <0,001; для группы 3 для визитов В2/В1 = 0,015, В3/В1 <0,001; В4/В1 <0,001.
Все три препарата показали высокую активность против Staphylococcus aureus (p <0,001), однако эффективность варьировала между группами. Наибольшее снижение уровня бактериальной обсеменённости наблюдалось в группах лечения 1 (55,6%) и 3 (54,4%), что на ~20% превышало результаты группы 2 (35%). В группе 1 среднее значение бактериальной нагрузки Staphylococcus aureus снизилось с 6,25×10⁴ КОЕ/мл на первые сутки до 4,75×10⁴ КОЕ/мл к 7-му дню, а к концу третьей недели — до 4,5×10⁴ КОЕ/мл (р=0,001), что указывает на статистически значимое уменьшение. В группе 3 аналогичный показатель снизился с 6,06×10⁴ до 4,56×10⁴ КОЕ/мл. У пациентов группы 2 уровень Staphylococcus aureus также снизился, однако вариабельность данных оказалась выше, что может свидетельствовать о менее стабильном эффекте препарата.
При изучении показателей антистрептолизина-О отмечалось их снижение у всех пациентов, но к 21-му дню наблюдались существенные межгрупповые различия, которых не было при первичном осмотре. Его уровень оставался более высоким в группе 2 в сравнении с группами 1 и 3.
Динамика показателей анализа крови свидетельствовала об эффективности всех трёх препаратов (рис. 3). По таким параметрам, как уровень лейкоцитов (тыс/мкл) и скорость оседания эритроцитов (мм/час), С-реактивный белок, уровень антистрептолизина-О, были выявлены статистически значимые положительные изменения. Следует отметить, что уровень антистрептолизина-О к концу исследования различался между группами наблюдения (p=0,009), оставаясь более высоким в группе 3 в сравнении с другими группами.
Рис. 3. Оценка динамики показателей крови, n=60.
Fig. 3. Changes in blood parameters, n = 60.
Дополнительные результаты исследования
Субъективная оценка эффективности лечения пациентами и врачами различалась между группами. Наибольшая удовлетворённость лечением отмечена в группе 1, где 54,5% пациентов (12 из 22) оценили своё состояние как значительное улучшение (рис. 4). Это существенно превышает аналогичные показатели в группах 2 (30%, 6 из 20) и 3 (22,2%, 4 из 18). Важно отметить, что ни один пациент ни в одной из групп не отметил ухудшения состояния. Мнение врачей подтвердило преимущество лечения в группе 1 (χ²=14,32, p=0,006) (рис. 5). В этой группе 50% пациентов (11 из 22) были отнесены к категории «значительное улучшение», что в два раза превышает показатель группы 3 (22,2%, 4 из 18). Разница между группами 1 и 2 (25%, 5 из 20) не достигла статистической значимости после поправки (p=0,084), но сохраняла клиническую важность. В группе 1 отсутствовали пациенты с нейтральной или слабой динамикой по оценке врачей, в то время как в других группах такие случаи отмечались.
Рис. 4. Оценка лечения пациентами (визит 4), n=60.
Fig. 4. Treatment assessment by patient (visit 4), n = 60.
Рис. 5. Оценка лечения врачом (визит 4), n=60.
Fig. 5. Treatment assessment by physician (visit 4), n = 60.
Согласованность оценок пациентов и врачей подтверждает объективность наблюдаемых различий.
Нежелательные явления
Отсутствие нежелательных явлений во всех группах не выявлено, что свидетельствует о хорошей переносимости всех исследуемых лекарственных препаратов.
ОБСУЖДЕНИЕ
Резюме результатов исследования
Из всего вышесказанного следует, что комбинированный препарат на основе офлоксацина, метилурацила и лидокаина не только демонстрирует лучшие объективные показатели эффективности, но и обеспечивает более выраженное субъективное улучшение состояния пациентов, что имеет важное значение для клинической практики. Разница в оценках между группами сохраняет клиническую значимость даже при пограничных значениях статистических показателей.
Интерпретация результатов исследования
Местное применение антибиотиков представляет собой перспективное направление в лечении инфицированных ран различного генеза, обладающее очевидными преимуществами: высокой концентрацией активных веществ в очаге поражения, минимизацией системных побочных эффектов и снижением риска развития антибиотикорезистентности [14]. Однако, несмотря на эти достоинства, роль местных антибиотиков в терапии сложных инфекций, особенно при взрывных и огнестрельных повреждениях, остаётся ограниченной и не является рутинной практикой, что обусловлено нехваткой исследований и вариабельностью клинических исходов [15].
В нашем исследовании препарат группы 1 продемонстрировал эффективность в ускорении заживления ран, снижении болевого синдрома (см. табл. 2, рис. 3) и подавлении бактериальной обсеменённости, что подтверждается статистически значимыми различиями по сравнению с препаратами групп 2 и 3 (p <0,001 для площади раны и глубины по шкале Wagner к 21-му дню). Эти результаты можно интерпретировать как следствие синергичного состава, сочетающего антибиотик (офлоксацин), анестетик (лидокаин) и регенеративный агент (метилурацил), что обеспечивает не только антимикробное и противовоспалительное действие, но и стимуляцию репаративного процесса. В частности, более выраженное снижение болевого синдрома в группе 1 (с 80,0 мм до нуля по ВАШ) начиная с 15-го дня (см. табл. 2) связано с местным анестезирующим эффектом лидокаина. Это способствует увеличению физической активности пациента, что, в свою очередь, улучшает локальную микроциркуляцию, минимизирует отёк и способствует более быстрой эпителизации. Аналогично, наибольшее снижение бактериальной нагрузки Staphylococcus aureus (на 55,6%) в этой группе указывает на синергизм компонентов, предотвращающий образование биоплёнок и развитие резистентности, в отличие от моноантисептического действия повидон-йода, где эрадикация была ниже (35%).
Сравнение с существующими данными подтверждает наши выводы. В многоцентровом исследовании Л.А. Блатун и соавт. (2021), проведённом на 240 пациентах с ожоговыми травмами, комбинированный препарат (офлоксацин + метилурацил + лидокаин) показал преимущество в скорости заживления ран (разница с комбинацией лорамфеникола и метилурацила — 15–20%), что практически идентично нашим показателям (18–22%) [16]. Однако наше исследование расширяет эти данные на специфическую категорию пациентов с боевыми травмами, где раны часто осложнены некрозом и полимикробной инфекцией. Полученные результаты относительно препаратов на основе повидон-йода согласуются с исследованием G. Norman и соавт. (2017), где, несмотря на хорошую антимикробную активность (эрадикация патогенов в 65–75% случаев), регенеративный потенциал таких средств уступает комбинированным мазям [17]. В нашем случае повидон-йод показал меньшую эффективность в регенерации (сохранение больших ран у пациентов к 21-му дню), что может объясняться его преимущественно бактерицидным эффектом без значительного влияния на репаративные процессы, в отличие от мазей, содержащих в своём составе метилурацил.
Механизмы действия препаратов также заслуживают анализа. Комбинированные мази благодаря включённым компонентам (антибиотики и стимуляторы регенерации) обеспечивают комплексное — противомикробное, противовоспалительное и регенерирующее — воздействие, поддерживая влажную среду раны и активизируя факторы роста (например, VEGF и TGF-β) [18]. Повидон-йод, как антисептическое и дезинфицирующее средство, оказывает быстрое бактерицидное действие на грамположительные и грамотрицательные бактерии, но его влияние на глубину ран и экссудацию менее выражено, как показано в нашем исследовании (увеличение доли пациентов с уменьшением глубины с 4,5 до 40,9% только в группе 1; p=0,008). Предварительное удаление бактерий с помощью ирригации, механической обработки, отрицательного давления (NPWT) и хирургического дебридмента, как в нашем протоколе, усиливает эти эффекты, улучшая процесс заживления [10]. Кроме того, положительная динамика лабораторных маркёров (снижение скорости оседания эритроцитов, С-реактивного белка и антистрептолизина-О) в группе 1 свидетельствует о более эффективном контроле системного воспаления, что особенно важно при огнестрельных ранах, где риск сепсиса достигает 44–52% [3, 4].
В целом понимание сложного взаимодействия между физической и физиологической средой раны, а также разработка новых стратегий для борьбы с устойчивыми бактериями способствуют улучшению лечения.
Наши результаты (рис. 2, 6) подчёркивают клиническую ценность комбинированного состава (офлоксацин + метилурацил + лидокаин) как препарата выбора для инфицированных ран после взрывных и огнестрельных повреждений и при синдроме диабетической стопы, обосновывая его включение в протоколы терапии. Будущие исследования должны фокусироваться на комбинированных подходах и оценке экономической эффективности для оптимизации лечения в условиях боевой травмы.
Рис. 6. Динамика заживления огнестрельного ранения левой бедренной кости пациента К. из группы 1: a — визит 1, b — визит 3, c — визит 4.
Fig. 6. Changes in healing of a gunshot wound to the left femur of patient K., Group 1: a, visit 1; b, visit 3; c, visit 4.
Ограничения исследования
Не выявлены.
ЗАКЛЮЧЕНИЕ
Применение комбинированных составов диоксометилтетрагидропиримидин + лидокаин + офлоксацин, диоксометилтетрагидропиримидин + хлорамфеникол и повидон-йод является эффективным и безопасным при лечении ран на стадии сосудистых реакций при серозно-инфильтративном и гнойно-некротическом воспалении.
Использование комбинации диоксометилтетрагидропиримидин + лидокаин + офлоксацин продемонстрировало лучшие результаты по таким ключевым параметрам, как ускоренное заживление, снижение бактериальной нагрузки и улучшение субъективных оценок проведённой терапии врачом и пациентом. Комбинированный состав препарата (антибиотик + регенерант + анестетик) делает его предпочтительным выбором для лечения сложных инфицированных ран, включая последствия травм и синдром диабетической стопы.
ДОПОЛНИТЕЛЬНАЯ ИНФОРМАЦИЯ
Вклад авторов. Паршиков М.В. — определение концепции, разработка идеи и дизайна исследования, пересмотр и редактирование рукописи; Говоров М.В. — разработка дизайна исследования, выполнение медицинского вмешательства, написание текста статьи, редактирование рукописи; Ярыгин Н.В. — определение концепции, работа с данными, пересмотр и редактирование рукописи; Кошкин А.Б. — сбор и анализ литературных источников, выполнение медицинского вмешательства, статистический анализ данных, редактирование рукописи; Подкосов О.Д. — сбор и анализ литературных источников, выполнение медицинского вмешательства, статистический анализ данных, редактирование рукописи. Все авторы внесли существенный вклад в разработку концепции, проведение исследования и подготовку статьи, прочли и одобрили финальную версию перед публикацией.
Этическая экспертиза. Исследование одобрено независимым междисциплинарным комитетом по этической экспертизе клинических исследований (протокол № 11 заседания независимого этического комитета от 16.11.2023 г.).
Согласие на публикацию. Все участники настоящего исследования подписывали добровольное информированное согласие на обработку персональных данных, включение в исследование и публикацию медицинской информации в научных целях.
Источники финансирования. Отсутствуют.
Раскрытие интересов. Авторы заявляют об отсутствии отношений, деятельности и интересов (личных, профессиональных или финансовых), связанных с третьими лицами (коммерческими, некоммерческими, частными), интересы которых могут быть затронуты содержанием статьи, а также иных отношений, деятельности и интересов за последние три года, о которых необходимо сообщить.
Оригинальность. При создании настоящей работы авторы не использовали ранее опубликованные сведения (текст, данные).
Доступ к данным. Авторы сообщают, что все данные представлены в статье и/или приложениях к ней.
Генеративный искусственный интеллект. При создании настоящей статьи технологии генеративного искусственного интеллекта не использовали.
Рассмотрение и рецензирование. Настоящая работа подана в журнал в инициативном порядке и рассмотрена по обычной процедуре. В рецензировании участвовали два внешних рецензента, член редакционной коллегии и научный редактор издания.
ADDITIONAL INFORMATION
Author contributions: M.V. Parshikov: conceptualization, methodology, writing—review and editing; M.V. Govorov: methodology, investigation, writing—original draft, writing—review and editing; N.V. Yarygin: conceptualization, data curation, writing—review and editing; A.B. Koshkin: investigation, formal analysis, writing—review and editing; O.D. Podkosov: investigation, formal analysis, writing—review and editing. All the authors made substantial contributions to the conceptualization, investigation, and manuscript preparation, and reviewed and approved the final version prior to publication.
Ethics approval: The study was approved by the Independent Interdisciplinary Committee for Ethical Review of Clinical Studies (Minutes No. 11 of the IEC meeting of November 16, 2023).
Consent for publication: Written informed consent was obtained from all the participants for the processing of personal data, participation in the study, and publication of their health data in research purposes.
Funding sources: No funding.
Disclosure of interests: The authors have no relationships, activities, or interests for the last three years related to for-profit or not-for-profit third parties whose interests may be affected by the content of the article, nor any other relationships, activities, or interests they are required to disclose.
Statement of originality: No previously published material (text, or data) was used in this article.
Data availability statement: All data generated during this study are available in the article and its supplementary material.
Generative AI: No generative artificial intelligence technologies were used to prepare this article.
Provenance and peer-review: This paper was submitted unsolicited and reviewed following the standard procedure. The peer review process involved two external reviewers, a member of the editorial board, and the in-house scientific editor.
About the authors
Mikhail V. Parshikov
Russian University of Medicine
Email: parshikovmikhail@gmail.com
ORCID iD: 0000-0003-4201-4577
SPIN-code: 5838-4366
MD, Dr. Sci. (Medicine), Professor
Russian Federation, MoscowMikhail V. Govorov
Russian University of Medicine
Email: svgovorova2011@yandex.ru
ORCID iD: 0000-0003-4873-3230
SPIN-code: 5444-1777
MD, Cand. Sci. (Medicine), Associate Professor
Russian Federation, MoscowNikolay V. Yarigin
Russian University of Medicine
Email: yarmk@mail.ru
ORCID iD: 0000-0003-4322-6985
SPIN-code: 3258-4436
MD, Dr. Sci. (Medicine), Professor, corresponding member of the Russian Academy of Sciences
Russian Federation, MoscowArsentiy B. Koshkin
Russian University of Medicine
Email: febris@mail.ru
ORCID iD: 0000-0002-7616-2255
SPIN-code: 4561-6000
Russian Federation, Moscow
Oleg D. Podkosov
Moscow City Hospital named after S.P. Botkin
Author for correspondence.
Email: oleg.podkosov@gmail.com
ORCID iD: 0000-0001-8980-6083
SPIN-code: 1254-0073
MD, Cand. Sci. (Medicine)
Russian Federation, MoscowReferences
- Kuzin MI, Kostyuchyonok BM, editors. Wounds and wound infections: Manual for physicians. 2nd ed., amended and supplemented. Moscow: Medicine; 1990. 592 p. (In Russ.)
- Surgical infections of the skin and soft tissues. Russian national guidelines. 2nd edition, revised and expanded. Russian Society of Surgeons. Russian Association of Surgical Infection Specialists. Moscow; 2015, 109 p. (In Russ.)
- Khachatryan NN, Dizengof IM, Smirnov GG, Lazutkina LI, Fesenko TA. Features of anti-bacterial therapy for surgical infections of the skin and soft tissues. Consilium Medicum. 2011;13(4):22–26. (In Russ.) EDN: RALJFH
- Khatsko VV, Potapov VV, Zenin OK. Etiology, pathogenesis and diagnosis of sepsis (literature review). Medical sciences. 2017;43(3):139–150. (In Russ.) doi: 10.21685/2072-3032-2017-3-15
- Trishkin DV, Kryukov ЕV, Alexeyev DЕ, et al. Military field surgery. National leadership. 2nd ed., revised and expanded. Moscow: GEOTAR-Media; 2024. 1056 p. (In Russ.) doi: 10.33029/9704-8036-6-VPX-2024-1-1056 EDN: AYGYWM
- Weintrob AC, Murray CK, Xu J, et al. Early Infections Complicating the Care of Combat Casualties from Iraq and Afghanistan. Surg Infect (Larchmt). 2018;19(3):286–297. doi: 10.1089/sur.2017.240
- Yeryukhin IA, Gelfand BR, Shlyapnikov SA, editors. Surgical infections: a guide. St. Petersburg: Peter; 2003. 864 p. (In Russ.).
- Cherkashin DV, Chumakov AV, et al. Transformation of the concept of focal infection at the turn of the century transformation of the concept of focal infection at the turn of the century. St. Petersburg: Politekhnika; 2021. 500 p. doi: 10.25960/7325-1183-3 EDN: CYSPXS
- Tamrazova OB, Stadnikova AS, Gureeva MA, Nikitin IS. Modern aspects of treatment of purulent wounds with combined drugs. Russian Journal of Clinical Dermatology and Venereology. 2020;19(6):905–913. doi: 10.17116/klinderma202019061905 EDN: XWTRCM
- Lychagin AV, Podkosov OD, Krochek IV, Nabatchikov NA, Petrov PI. Current trends in the diagnosis and treatment of chronic osteomyelitis of limb bones. literature Review. Department of Traumatology and Orthopedics. 2023;(1):83–89. doi: 10.17238/2226-2016-2023-1-83-89 EDN: UAHDKB
- Mozhayev DA. Report. Results of post-marketing clinical application of the Oflomelid ointment for treatment of patients with trophic ulcers of the venous etiology. Samara; 2013. 14 p. (In Russ.)
- Prilepina EV. Effectiveness of local treatment of purulent wounds with use of ointment «Oflomelid». Bulletin of the Council of Young Scientists and Specialists of the Chelyabinsk region. 2017;18(3):139–142. (In Russ.)
- Patent RUS No. 2262353 C2/ 20.10.2005. Byul. No. 29. Blatun LA, Kozlov RS, Mironov AYu, Samsonova LN. Pharmaceutical composition with antibacterial, wound healing and analgesic effect. 8 p. (In Russ.)
- Muromtseva EV, Sergatskiy KI, Nikol’skiy VI, et al. Wound treatment depending on the phase of the wound process. University proceedings. Volga region. Medical sciences. 2022;(3):93–109. doi: 10.21685/2072-3032-2022-3-9 EDN: CBPSIU
- Daeschlein G. Antimicrobial and antiseptic strategies in wound management. J Wound Care. 2013;22(Suppl 8a):S1–26. doi: 10.12968/jowc.2013.22.Sup8.S1
- Blatun LA, Petrov VK, Sidorova MN. Modern approaches to the treatment of wounds and wound infections. Wounds and wound infections. 2015;2(1):15–23. (In Russ.).
- Norman G, Christie J, Liu Z, et al. Antiseptics for burns. Cochrane Database Syst Rev. 2017;7(7):CD011821. doi: 10.1002/14651858.CD011821.pub2
- Ivanusa SN The dynamics of the wound process: from vascular reactions to repair. St. Petersburg: Biomed; 2017. 178 p. (In Russ.)
Supplementary files








