Psychopathological disorders in patients suffering from diseases of the peripheral nervous system, accompanied by chronic painful syndrome
- Authors: Andreeva G.O.1, Emelyanov A.Y.1, Barsukov I.N.2
-
Affiliations:
- Военно-медицинская академия им. С.М. Кирова
- Балтийский федеральный университет им. И. Канта
- Issue: Vol 19, No 3 (2017)
- Pages: 118-121
- Section: Experimental trials
- Submitted: 07.11.2023
- Accepted: 07.11.2023
- Published:
- URL: https://journals.eco-vector.com/1682-7392/article/view/623037
- DOI: https://doi.org/10.17816/brmma623037
- ID: 623037
Cite item
Full Text
Abstract
The chronic pain syndrome is almost connected with a various degree of asthenic and affective disorders. It is accompanied by asthenia in 76,5% of patients, anxiety – in 72,9% of patients, depressive disorders – in 31,4% of patients. Pain parameters on visual analogue scale are connected with a neuropathic component of pain, severity of anxiety disorders and degree of asthenia. The parameters of neuropathic component of pain is closely associated with a data on state and trait anxiety. It was found, that in patients with a long history of chronic pain syndrome, anxiety impairment reliably decreases, depression impairment reliably increases during the time. It is necessary to include psychopharmacological and not pharmacological methods in complex therapy at the earliest stages of chronic pain syndrome to treat or prevent psychological disorders and to raise efficiency of treatment.
Full Text
Введение. Хроническая боль – ведущая причина нетрудоспособности в экономически развитых странах, ею страдают от 15 до 40% людей в популяции [3, 9], причем заболеваемость хроническими болевыми синдромами продолжает неуклонно расти. Среди неврологических больных 95% болевых синдромов развиваются при заболеваниях периферической нервной системы [4]. Хронический болевой синдром зачастую сопровождается тревожными и депрессивными нарушениями [1, 2, 7], вместе с тем, эмоциональные расстройства у таких больных исследованы недостаточно, отсутствует единый подход в терапии хронических болей при заболеваниях периферической нервной системы.
Цель исследования. Изучить характер и выраженность психопатологических нарушений у больных с различной длительностью хронического болевого синдрома при заболеваниях периферической нервной системы, разработать алгоритм лечения.
Материалы и методы. Проведено комплексное углубленное обследование 446 больных в возрасте от 19 до 60 лет, страдающих заболеваниями периферической нервной системы, сопровождающихся хроническим болевым синдромом. Среди пациентов преобладали мужчины – 305 человек (68,4%) преимущественно трудоспособного возраста. Диагноз устанавливали на основании клинических, электрофизиологических, нейровизуализационных признаков поражения периферических нервов или корешков. Критериями хронической боли считали длительность болевого синдрома дольше 3 месяцев. Выраженность болевого синдрома оценивали по визуальной аналоговой шкале (ВАШ) [10], для оценки нейропатической боли использовали опросник DN 4 [8]. Критериями исключения из исследования считали: полный анатомический перерыв нерва, наличие опухоли либо метастазов, являющихся причиной заболеваний периферических нервов.
В исследовании психопатологических нарушений применяли опросник Спилбергера – Ханина [5] для оценки выраженности реактивной тревоги (РТ) и личностной тревожности (ЛТ), опросник Монтгомери – Асберга [11] для оценки депрессивных расстройств, субъективную шкалу астении Multidimensional Fatigue Inventory (MFI-20) [12] для оценки астенических нарушений.
Все больные были разделены на 3 группы в зависимости от длительности болевого синдрома: 1-я (n=106) – от 3 до 6 месяцев; 2-я (n=109) – от 6 до 12 месяцев; 3-я (n=231) – более 12 месяцев.
Статистическую обработку результатов исследований проводили с применением стандартных методик в соответствии с рекомендациями по анализу результатов медико-биологических исследований с использованием пакета программ Statistica for Widows 8.0. Заключение о статистической значимости давалось при уровне вероятности ошибочного значения p не менее 0,05 [6].
Результаты и их обсуждение. Все пациенты жаловались на боли различного характера. Тяжелее всего больными переносились стреляющие жгучие боли, сопровождающиеся чувством покалывания, онемения. Наиболее высокие показатели по ВАШ были отмечены при комплексном региональном болевом синдроме (81±10 мм), идиопатической невралгии тройничного нерва (70±10 мм), хронической диабетической полиневропатии (59±12 мм), хронической алкогольной полиневропатии (62±13 мм). При этих же нозологических формах частота встречаемости нейропатического компонента боли была выше.
Клиническая картина заболеваний периферической нервной системы была представлена чувствительными, двигательными и вегетативно-трофическими расстройствами. Среди чувствительных нарушений симптомы раздражения в виде гиперестезии, дизестезии, аллодинии чаще всего отмечались у больных с комплексным регионарным болевым синдромом (81,2%), диабетической полиневропатией (43,5%), алкогольной полиневропатией (32,3%). Гипестезия в зоне иннервации пораженных нервов отмечалась у 71,7% больных диабетической полиневропатией, 61,3% больных алкогольной полиневропатией, 57,5% больных с радикулопатиями, 61,3% больных с плечевыми плексопатиями, 51,4% больных с компрессионно-ишемическими невропатиями.
Нарушения астенического характера были диагностированы у 341 (76,5%) больного, устойчивые изменения тревожного спектра – у 325 (72,9%) больных, депрессивные расстройства – у 140 (31,4%) больных. При разных нозологических формах встречалось различное сочетание аффективных нарушений (табл.).
Таблица
Частота нарушений аффективной сферы и астенических расстройств у больных, страдающих хроническим болевым синдромом при заболеваниях периферической нервной системы
Заболевания периферической нервной системы | Астения | Тревога | Депрессия | |||
абс. | % | абс. | % | абс. | % | |
Радикулопатии | 156 | 72,9 | 146 | 68,2 | 47 | 22 |
Плечевые плексопатии | 24 | 77,4 | 23 | 74,2 | 11 | 35,5 |
Компрессионно-ишемические невропатии | 46 | 85,2 | 43 | 79,6 | 29 | 53,7 |
Комплексный региональный болевой синдром | 25 | 78,1 | 28 | 87,5 | 21 | 65,6 |
Идиопатическая невралгия тройничного нерва | 32 | 84,2 | 29 | 76,3 | 11 | 28,9 |
Хроническая диабетическая полиневропатия | 35 | 76,1 | 33 | 71,7 | 16 | 34,8 |
Хроническая алкогольная полиневропатия | 23 | 74,2 | 21 | 67,7 | 8 | 25,8 |
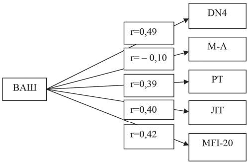
С целью определения влияния психопатологических нарушений на характер и выраженность болевого синдрома был проведен корреляционный анализ, в результате которого выявлено, что статистически значимо показатель выраженности боли по ВАШ связан с нейропатическим компонентом боли (r=0,49; p<0,001), уровнем реактивной тревоги (r=0,39; p<0,001), личностной тревожности (r=0,40; p<0,001) и уровнем астении (r=0,42; p<0,001) (рис. 1).
Рис. 1. Корреляционная оценка связи выраженности боли по ВАШ с нейропатическим компонентом боли и нарушениями аффективной сферы
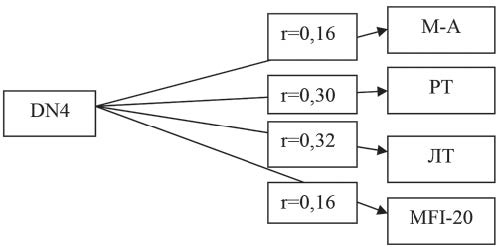
При исследовании показателей нейропатического компонента боли обнаружена статистически значимая связь с уровнем реактивной тревоги (r=0,30; p<0,01) и личностной тревожности (r=0,32; p<0,01) (рис. 2).
Рис. 2. Корреляционная оценка связи выраженности нейропатического компонента боли по DN 4 с нарушениями аффективной сферы
При анализе показателей выраженности болевого синдрома было отмечено их уменьшение с течением времени: достоверно более высокие (p<0,01) средние значения по ВАШ отмечались у больных 1-й и 2-й групп (61,0±1,5 мм и 60,9±1,5 мм соответственно), чем у больных 3-й группы со сроком заболевания более года – 55,3±1,0 мм.
Частота встречаемости расстройств аффективной сферы и астенического синдрома с увеличением длительности хронического болевого синдрома нарастала. Так, в 1-й группе астенические расстройства были отмечены у 66% больных, расстройства тревожного спектра – у 40,6% больных, депрессивные расстройства – у 22,6% больных. Во 2-й группе астенические расстройства были отмечены у 75,2% больных, тревожные расстройства были диагностированы у 67,8% больных, депрессивные расстройства – у 29,4% больных. В 3-й группе астенические расстройства имели место у 79,2% больных, тревожные расстройства – у 78,3% больных, депрессивные нарушения были диагностированы у 39,4% больных.
Уровень астении по шкале MFI-20 был однородно высоким у больных с разной длительностью заболевания.
Показатели средних значений расстройств аффективной сферы были различными при разной длительности болевого синдрома.
С увеличением длительности заболевания достоверно (p<0,01) уменьшались средние значения показателей реактивной тревоги и личностной тревожности. У больных 1-й группы средние значения показателей реактивной тревоги составляли 43,9±0,6 балла, у больных 2-й группы – 42,0±0,5 балла, у больных 3-й группы были равны 39,6±0,5 балла. Уровень личностной тревожности достоверно выше (p<0,01) был в 1-й группе по сравнению со 2-й и 3-й группами, в которых этот показатель существенно не различался.
Показатели выраженности депрессивных нарушений достоверно (p<0,01) возрастали при увеличении длительности заболевания. Средние их значения существенно различались во всех группах и составили: у больных 1-й групп – 18,8±0,5 балла; у больных 2-й группы – 20,4±0,4 балла; у больных 3-й группы балл депрессии оказался максимальным и составил 21,8±0,4 балла.
Таким образом, хронический болевой синдром при заболеваниях периферической нервной системы представляет собой сложный многоуровневый патологический процесс с участием ноцицептивного, нейропатического, психогенного компонентов. С увеличением длительности заболевания все большее значение приобретает вовлечение центральных структур нервной системы, сопровождающееся развитием психопатологических нарушений.
Нами выделено три стадии хронического болевого синдрома в зависимости от длительности заболевания с преобладанием различных нарушений аффективной сферы:
- от 3 до 6 месяцев – начальные этапы «хронизации боли» с формированием астенических нарушений, преобладанием тревожных расстройств высокой интенсивности;
- от 6 до 12 месяцев – снижение интенсивности тревожных расстройств, увеличение частоты астенических и депрессивных нарушений; формирование «порочного круга», взаимоподдерживающих связей болевого синдрома и аффективных нарушений;
- больше 12 месяцев – «фиксация» хронической боли, увеличение частоты астенических нарушений (практически у всех больных); дальнейшее снижение интенсивности тревожных расстройств, увеличение частоты и интенсивности депрессивных расстройств (переход тревоги в депрессию).
На основании выявленных закономерностей в течении и клинической картине хронического болевого синдрома при заболеваниях периферической нервной системы был разработан алгоритм лечения в зависимости от стадии хронической боли.
На ранних сроках формирования хронического болевого синдрома (от 3 до 6 месяцев) наряду с назначением трициклических антидепрессантов и антиконвульсантов необходимо подбирать анксиолитические и противоастенические препараты в комплексе с физиотерапевтическими, рефлексотерапевтическими, психотерапевтическими методами воздействия. В силу того, что у этой группы больных преобладют тревожные расстройства высокой интенсивности, предпочтительно назначать анксиолитики бензодиазепинового ряда. С целью предупреждения формирования стереотипа болевого поведения значимо проведение позитивной психотерапии.
На второй стадии (у больных с длительностью болевого синдрома от 6 до 12 месяцев) происходит формирование «порочного круга» взаимоподдерживающих связей болевого синдрома и аффективных нарушений. Увеличивается частота встречаемости астенических и депрессивных расстройств. Интенсивность тревожных нарушений снижается, а выраженность депрессивных нарушений возрастает. Поэтому в лечении таких больных, кроме применения анксиолитических средств, целесообразно увеличить дозировку трициклических антидепрессантов при субдепрессивных нарушениях с целью предупреждения их дальнейшего развития; при наличии клинически выраженных депрессивных нарушений (больше 16 баллов по шкале Монтгомери- Асберга) назначать антидепрессанты из группы селективных ингибиторов обратного захвата серотонина. В комплексное лечение включать немедикаментозные методы (физиотерапию, иглорефлексотерапию с применением специально разработанных схем, направленных на коррекцию эмоциональных нарушений), лечебную физкультуру с расширением двигательного стереотипа.
На третьей стадии (при длительности болевого синдрома более 12 месяцев) на первый план выходит психогенный компонент боли. В первую очередь необходимо обращать внимание на характер и интенсивность депрессивных нарушений: подбирать терапевтические дозы антидепрессантов (в зависимости от доминирующего аффекта) – ингибиторы обратного захвата норадреналина и серотонина (дулоксетин, венлафаксин, милнаципран). Сочетать медикаментозное лечение с иглорефлексотерапией с применением специальных схем лечения, направленных на коррекцию эмоциональных и астенических расстройств). Оказывать воздействия, направленные на разрушение стереотипа болевого поведения, предупреждение «фиксации» на боли. Обучать пациента стратегии преодоления боли, создавать условия для его социальной адаптации. Обязательным компонентом комплексного лечения должно быть расширение двигательного режима больного, обучение его новому двигательному стереотипу, с привлечением не только врача-невролога, но и врача лечебной физкультуры, младшего и среднего медицинского персонала, родственников больного.
Заключение. У больных, страдающих хроническим болевым синдромом, психогенный компонент доминирует в 78,7% случаев и представлен тревожными и депрессивными расстройствами. Поэтому всем больным с длительностью болевого синдрома свыше 3 месяцев необходимо проводить психофизиологическое обследование. При выявлении нарушений аффективной сферы и астенических расстройств в комплексное лечение следует включать психофармакологические средства, немедикаментозную терапию (рефлексотерапию, физиотерапию, лечебную физкультуру) и методы психологического воздействия (рациональную психотерапию, консультативную помощь психологов).
About the authors
G. O. Andreeva
Военно-медицинская академия им. С.М. Кирова
Author for correspondence.
Email: galinandreev@yandex.ru
Russian Federation, Санкт-Петербург
A. Y. Emelyanov
Военно-медицинская академия им. С.М. Кирова
Email: galinandreev@yandex.ru
Russian Federation, Санкт-Петербург
I. N. Barsukov
Балтийский федеральный университет им. И. Канта
Email: galinandreev@yandex.ru
Russian Federation, Калининград
References
- Андреева, Г.О. Комплексная терапия больных с хроническими болевыми радикулопатиями // Г.О. Андреева, А.Ю. Емельянов / Мед.-биол. и соц.-психол. пробл. безопасности в чрезв. ситуациях. – 2012. – № 1. – С. 22–25.
- Андреева, Г.О. Лечение комплексного регионального болевого синдрома и его осложнений / Г.О. Андреева, А.Ю. Емельянов // Вестн. психотерапии. – 2012. – № 42 (47). – С. 46–50.
- Крыжановский, Г.Н. Важное событие в отечественной медицине / Г.Н. Крыжановский // Боль. – 2003. – № 1 (1). – C. 4–5.
- Одинак, М.М. Болевые синдромы в неврологической практике / М.М. Одинак, С.А. Живолупов, И.Н. Самарцев // Журн. неврологии и психиатрии им. С.С. Корсакова. – 2009. – № 9. – С. 80–88.
- Ханин, Ю.Л. Краткое руководство к применению шкалы реактивной и личностной тревожности Ч.Д. Спилбергера / Ю.Л. Ханин. – Л.: Лен. науч.-исслед. ин-т физкультуты, 1976. – 18 с.
- Юнкеров, В.И. Математико-статистическая обработка данных медицинских исследований / В.И. Юнкеров, С.Г. Григорьев, М.В. Резванцев. – СПБ.: ВМА, 2011. – 318 с.
- Яхно, Н.Н. Хроническая боль. Патогенез, клиника, лечение: учеб. пособие для врачей / Н.Н. Яхно, Е.В. Подчуфарова. – М.: АМА-Пресс, 2009. – 84 с.
- Bouhassira, D.Comparison of pain syndromes associated with nervous or somatic lesions and development of a new neuropathic pain diagnosis questionnaire (DN4) / D. Bouhassira, [et al.] // Pain. – 2005. – Vol. 114, № 1/2. – P. 29–36.
- Breivik, H. Survey of chronic pain in Europe: Prevalence, impact on daily life, and treatment / H. Breivik [et al.] // Eur. J. Pain. – 2006. – Vol. 10, № 4. – P. 287–333.
- Masur, H. Visual analogue scale (VAS) / H. Masur [et al.] // Scales and scores in neurology. Quantification of neurological deficits in research and practice. – New York: Thieme Stuttgart, 2004. – P. 94.
- Mоntgomery, S.A. A new depression scale designed to be sensitive to change / S.A. Mоntgomery, M. Asberg // Br. J. Psychiatry. – 1979. – Vol. 134. – P. 382–389.
- Smets, E.M. The multidimensional fatigue inventory (MFI) psychometric qualities of an instrument to assess fatigue / E.M. Smets [et al.] // J. Psychosom. Res. – 1995. – Vol. 39. – P. 315–325.
Supplementary files



