Сравнительная характеристика динамики показателей биоимпедансометрии у мужчин молодого возраста с избыточной и нормальной массой тела при лечении внебольничной пневмонии
- Авторы: Гайворонский И.Н.1, Халимов Ю.Ш.1, Пашкова И.Г.2
-
Учреждения:
- Военно-медицинская академия им. С.М. Кирова
- Петрозаводский государственный университет
- Выпуск: Том 19, № 4 (2017)
- Страницы: 35-39
- Раздел: Клинические исследования
- Статья получена: 23.11.2023
- Статья одобрена: 23.11.2023
- Статья опубликована:
- URL: https://journals.eco-vector.com/1682-7392/article/view/623765
- DOI: https://doi.org/10.17816/brmma623765
- ID: 623765
Цитировать
Полный текст
Аннотация
Изучен компонентный состав тела мужчин c нормальной и избыточной массой тела в возрасте от 18 до 44 лет, больных внебольничной пневмонией нетяжелого течения. Установлено, что компонентный состав тела у мужчин c нормальной и избыточной массой тела на различных сроках лечения претерпевает существенные изменения общего содержания жира, общей мышечной массы с водой и общего содержания воды. Незначительные изменения выявлены по показателю массы тела, индексу массы тела и стабильности общей обезжиренно-обезвоженной костной массы. Кроме того, у всех больных показатели общего содержания воды и общей мышечной массы с водой по сравнению с 1-ми сутками лечения были меньше на 3-й, 7-й и 15-й дни исследования. При этом наименьшие значения данных показателей регистрировались на 3-и сутки лечения. В процентном отношении показатели общего содержания воды в указанный период лечения у мужчин с нормальной массой тела уменьшались на 12,8, 7,8 и 10,9%, а мужчин с нормальной массой тела - на 14,4, 3,8 и 8,1% соответственно. Общая мышечная масса с водой в процентном отношении у мужчин с нормальной массой тела снижалась на 8,6,3,3 и 5%, у мужчин с избыточной массой тела - на 6,4,2,4 и 4,4% соответственно. Выявлено, что у всех обследуемых пациентов общее содержание жира на различных сроках лечения превышало показатели 1-го дня лечения, повышаясь в процентном отношении у мужчин с нормальной массой тела на 9,5; 2,6 и 9,5%, а у мужчин с избыточной массой тела на 6,9;1,8 и 7,8% соответственно. В процессе лечения общее содержание жира имело тенденцию к изменению обратно пропорционально показателям общего содержания воды (r= -0,6, p<0,05). В целом, биоимпедансометрия позволяет адекватно и своевременно выявлять изменения компонентного состава тела у больных пневмонией, помогая тем самым оптимизировать лечение.
Полный текст
Введение. В настоящее время изучение клинического течения внебольничной пневмонии (ВП) крайне актуально, что объясняется возросшим уровнем заболеваемости, сложностями диагностики и подбора схем адекватной терапии на ранней стадии [4]. Значимым аспектом данного заболевания является тяжелое течение и высокий уровень летальности, доходящий до 5% от всех случаев заболевания ВП и занимающий по этому показателю четвертое место среди инфекционных заболеваний [5, 15]. Именно поэтому необходима оптимизация комплекса мероприятий по диагностике, лечению и профилактике ВП. Часто даже ВП нетяжелого течения (ВПНТ) представляет угрозу жизни больного в связи с риском быстрого перехода в тяжелое течение, обусловленное развитием таких осложнений, как плеврит, отек легких, инфекционнотоксический шок, острая сердечная недостаточность. Возможность возникновения тяжелых осложнений требует тщательного наблюдения за больными в период лечения, включая анализ динамики показателей компонентного состава тела (КСТ). Для оценки КСТ в настоящее время применяется биоимпедансометрия, которая легко выполнима и не несет вреда здоровью. Принцип биоимпедансометрии основан на измерении уровня сопротивления тканей во время прохождения по ним слабого электрического импульса. Самым большим биоимпедансом (комплексным сопротивлением) обладают жировая и костная ткани. Электрическое сопротивление организма имеет сильную корреляционную связь с жировым, водным компонентами и «обезжиренной» (тощей) массой [8-10, 16, 17].
Д.В. Николаев и др. [10], С.Г. Руднев и др. [12], Ю.В. Торнуев и др. [14] указывают на возможность использования биоимпедансометрии для оценки изменения КСТ при инфекционных заболеваниях, а также для контроля результатов лечения.
Нами [3] ранее были изучены особенности изменения КСТ больных ВПНТ мужчин с нормальной массой тела на различных сроках лечения.
Особый интерес представляет изучение больных ВП с отклонением массы тела от нормальных значений, в частности с наличием избыточной массы тела. Известно, что избыточной массой тела, а также ожирением различной степени в настоящее время страдает
млрд человек в возрасте старше 18 лет. При этом преобладающая часть населения планеты проживает в странах, где от заболеваний, связанных с избыточной массой тела и ожирением, умирает больше людей, чем от последствий дефицита массы тела.
Цель исследования. Изучить динамику показателей КСТ на различных сроках лечения ВПНТ у мужчин молодого возраста с избыточной массой тела.
Материалы и методы. Обследованы две группы мужчин в возрасте от 18 до 44 лет. В 1-ю группу включены 73 больных ВПНТ мужчины с нормальной массой тела (индекс массы тела (ИМТ) от 18,9 до 24,9 кг/м2; Х±δ=22±1,4), во 2-ю группу - 12 больных ВПНТ мужчин с избыточной массой тела (ИМТ от 25 до 29,2 кг/м2; Х± δ=26,3±1,2). Стационарное лечение проходило в клинике военно-полевой терапии Военно-медицинской академии им. С.М. Кирова и в пульмонологическом отделении 442-го окружного военного клинического госпиталя им. З.П. Соловьева. В каждую группу отбирались больные, поступившие в 1-е сутки с момента заболевания. Данные лица имели палатный режим, получали диету № 15 по Певзнеру, терапию в соответствии со стандартами лечения ВПНТ, внутривенные инфузии 5% раствора глюкозы 400 мл и 5% раствора аскорбиновой кислоты 10 мл.
Контрольной группой (КГ) служили 105 практически здоровых мужчин с нормальной массой тела (ИМТ от 19 до 24,7 кг/м2; к Х± δ =22,5±1,4) и 10 практически здоровых мужчин с избыточной массой тела (ИМТ от 25,2 до 29,7 кг/м2; Х± δ=26,9±1,5) в возрасте от 18 до 44 лет.
Исследование выполнено с помощью биоимпедансных весов (диагностический анализатор жировой массы «Tanita BC-545N» (Япония)), которые позволяли определять массу тела (МТ), общую мышечную массу с водой (ОММ+В) и общую костную обезжиренно-обезвоженную массу (ОКООМ) в кг, общее содержание жира (ОСЖ) и общее содержание воды (ОСВ) в процентах, а также индекс массы тела (ИМТ) в кг/ м2. Больным биоимпедансометрия проводилась при поступлении в лечебное учреждение на 1-е, 3-и, 7-е и 15-е сутки лечения.
Статистическая обработка материала осуществлялась с использованием программ StatSoft Statistica 10.0, Microsoft Excel 2016. Все полученные результаты обрабатывали вариационно-статистическими методами, рассчитывали среднее арифметическое (X) и среднеквадратическое отклонение (δ). Для определения достоверности различий показателей исследуемых независимых выборок с нормальным распределением использовали параметрический t-критерий Стьюдента, результат считали статистически значимым при p<0,05. Для выявления взаимосвязи между изучаемыми параметрами проводился корреляционный анализ по Спирмену.
Результаты и их обсуждение. Установлено, что у больных ВПНТ на различных сроках лечения наиболее подвержены изменению уровни ОСВ, ОММ+В и ОСЖ, при этом МТ и ИМТ изменяются мало, а ОКООМ - стабильна (табл.).
Таблица
Показатели КСТ в контрольных группах и у больных с нормальной и избыточной массой тела на различных этапах лечения ВПНТ, Х± δ
Показатель | Группа | Лечение больных ВПНТ, сутки | КГ | |||
1-е | 3-е | 7-е | 15-е | |||
МТ, кг | 1-я | 71,8±6,7 | 71±6,5 | 69,9±6 | 71,5±6,5 | 73,2±6,4 |
2-я | 87,6±6,4 | 86,6±6,3 | 86,1±6,2 | 87,6±6,3 | 84,4±5,8 | |
ИМТ, кг/м2 | 1-я | 22,6±0,5 | 21,8±1,4 | 21,3±0,3*1,2 | 22,6±1,2 | 22,9±0,8 |
2-я | 26,3±1,2 | 25,9±1,2 | 25,8±1,2 | 26,3±1,2 | 26,9±1,5 | |
ОММ+В, кг | 1-я | 60,3±1,7 | 55,1±2*1,2 | 58,3±1,1*3 | 57,3±1,3*1,2 | 62,4±3,1 |
2-я | 65,3±4,5 | 61,1±4,1*2 | 63,7±4,1 | 62,4±4,2*1 | 67,1±3,8 | |
ОКООМ, кг | 1-я | 3,2±0,3 | 3,2±0,3 | 3,2±0,2 | 3,2±0,2 | 3,2±0,2 |
2-я | 3,5±0,1 | 3,5±0,1 | 3,5±0,1 | 3,5±0,1 | 3,5±0,2 | |
ОСЖ, % | 1-я | 11,6±0,4 | 12,7±0,6*2 | 11,9±1,1 | 12,7±0,4*1,2 | 11,4±0,6 |
2-я | 21,7±1,8 | 23,2±1,7*2 | 22,1±1,7 | 23,4±1,7*1,2 | 20,1±2,5 | |
ОСВ, % | 1-я | 63,1±2,6 | 55±1,2*1,2 | 58,2±1*1,2, 3 | 56,2±0,5*1,2, 4 | 64,6±3,1 |
2-я | 57,8±2,1*1 | 49,5±1,1*2 | 55,6±1,3*2, 3 | 53,1±1,9*1,2, 4 | 61,3±1,9 | |
Примечание: *1 - различия с КГ; *2 - с 1-ми сутками лечения; *3 - с 3-ми сутками лечения; *4 - с 7-ми сутками лечения, p<0,05.
Динамика показателей МТ у больных ВПНТ с нормальной и повышенной массой тела в процессе лечения была однонаправленной. Максимальное снижение величины МТ и ИМТ в обеих группах (на 2,6 и 1,7%; 5,7 и 1,9% соответственно) отмечено на 7-е сутки лечения с последующим восстановлением на момент выписки до уровня 1 дня.
У больных ВПНТ с нормальной массой тела в различные сроки лечения статистически значимо уменьшались показатели ОСВ. Имело место увеличение ОСВ к 7-м суткам заболевания, не достигавшее исходной величины (1-е сутки лечения).
Показатели ОММ+В в процессе лечения больных ВПНТ с нормальной массой тела снижались, достигая минимальных значений к 3-м суткам с последующим их увеличением на 7-е сутки, но к 15-м суткам они были достоверно (p<0,05) ниже величины данного показателя в 1-е сутки. Показатели ОСЖ имели обратную динамику, они увеличивались и достигали максимальных величин на 3-и сутки лечения, к 7-м суткам происходило их незначительное снижение, а на 15-е сутки их величина статистически значимо (p<0,05) превышала исходные значения в день госпитализации.
У больных ВПНТ с избыточной массой тела в 1-е сутки заболевания были выявлены достоверные отличия (p<0,05) только по уровню ОСВ в сравнении с КГ. По другим показателям КСТ между больными обеих групп в 1-й день статистически значимых различий не выявлено. Это можно объяснить, прежде всего, наличием гипертермии и интоксикации у всех поступивших в стационар больных, что и привело к снижению содержания воды в организме. В начале заболевания в связи с учащением дыхания и увеличением легочной вентиляции происходит повышение дыхательной влагопотери, что может приводить к дегидратации организма. При учащении дыхания в 2 раза потеря воды возрастает в 3 раза путем перспирации, а при повышении температуры тела на 1°С внепочечные потери жидкости возрастают на 13% [6].
У больных ВПНТ с повышенной массой тела выявлено статистически значимое (p<0,001) уменьшение величины ОСВ по сравнению с больными с нормальной массой тела (рис. 1). Эти данные, возможно, объясняются большей площадью поверхности тела у лиц с повышенной массой тела, следовательно, и большей величиной влагопотери.
Рис. 1. Динамика показателей ОСВ у больных ВПНТ с нормальной и избыточной массой тела.
На 3-и сутки лечения у больных ВПНТ с избыточной массой тела по сравнению с началом лечения выявлено статистически значимое (p<0,05) изменение показателей КСТ в виде снижения ОММ+В и ОСВ, а также нарастания ОСЖ. На 7-е сутки лечения у данных больных показатель ОСВ статистически значимо (p<0,05) увеличился, однако по сравнению с данными первого дня госпитализации его величина была достоверно ниже (p<0,05). Это, по-видимому, объясняется полным прекращением к 7-м суткам инфузионной терапии и продолжением адекватной антибиотикотерапии, на фоне которой нормализовалась температура тела и уменьшились проявления интоксикации.
К моменту выписки из стационара (15-е сутки) у больных ВПНТ с избыточной массой тела по сравнению с 7-ми сутками лечения вновь отмечалось снижение ОСВ (p<0,05). У данной группы больных на 15-е сутки лечения в сравнении с данными дня госпитализации показатель ОСВ оставался достоверно сниженным (p<0,05), как и в сравнении с КГ.
В экспериментах на животных показано, что основным проявлением гомеостатических нарушений водно-солевого баланса при ВП является перераспределение воды и электролитов между вне- и внутриклеточным бассейнами, переход жидкости из тканевых депо, особенно мышц и подкожной клетчатки, в сосудистое русло [2].
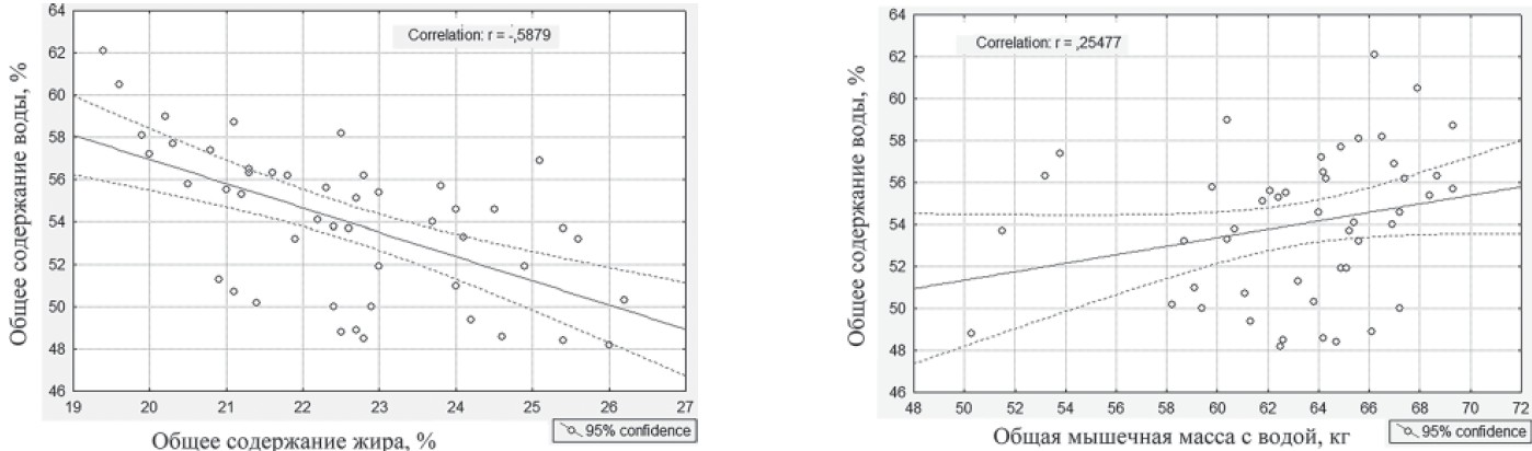
Корреляционный анализ полученных данных у больных ВПНТ с избыточной массой тела выявил статистически значимую (p<0,05) обратную взаимосвязь (r= -0,6) между показателями ОСЖ и ОСВ (рис. 2а). Менее выраженная взаимосвязь (r=0,3; p<0,05) определялась между показателями ОММ+В и ОСВ (рис. 2б). Слабая взаимосвязь была между показателями МТ и ОСВ (r=0,14; p<0,05).
Рис. 2. Взаимосвязь показателей ОСЖ и ОСВ (а), ОММ+В и ОСВ (б) у больных ВПНТ с избыточной массой тела.
При выписке из стационара в сравнении с 1-ми сутками заболевания показатели ОММ+В у больных ВПНТ с избыточной массой тела оставались достоверно сниженными (p<0,05), а уровень ОСЖ значимо выше (p<0,05). Полагаем, что увеличение жировой массы за период лечения связано с гиподинамией в период болезни и особенностями высокоуглеводного питания в условиях стационара. П.Ф. Литвицкий [7] указывает, что при заболеваниях легких в организме в целом происходит перестройка всех видов обмена веществ: углеводного, белкового, жирового и водно-солевого. Изменяется метаболизм углеводов, имеет место гипергликемия вследствие увеличенного обмена глюкозы, повышается глюконеогенез, развивается мышечный протеолиз (белки мышц являются источником аминокислот для глюконеогенеза), который приводит к отрицательному балансу азота. Одновременно может быть плохая утилизация липидов, что приводит к их накоплению в организме.
Таким образом, у мужчин с нормальной и избыточной массой тела в различные сроки лечения ВПНТ показатели МТ, ИМТ относительно стабильны, а значение ОКООМ остается неизменным на всем протяжении лечения. Показатели ОММ+В, ОСВ, ОСЖ изменяются в большей степени у лиц с избыточной массой тела.
В процентном отношении различия по показателю ОСВ в указанный период лечения в 1-й группе составили 12,8, 7,8 и 10,9%, во 2-й - 14,4, 3,8 и 8,1% соответственно. По мнению А.В. Адлер [1], большинство нарушений состояния гидратации в клинической практике зависит от изменения объёма внеклеточной жидкости. Нарушение клеточной гидратации наблюдается относительно редко (отравления, ожоги, за несколько часов до смерти у больных с полиорганной недостаточностью), в то время как внеклеточные отёки чаще встречаются при некоторых нефрологических и кардиологических заболеваниях, а также при локальных отёках конечностей. Изменение внеклеточной гидратации у здоровых людей может быть обусловлено задержкой воды или температурным воздействием [8, 11].
Показатель ОММ+В у больных с нормальной и избыточной массой тела изменялся на 3-й, 7-й, 15-й дни в сторону уменьшения по сравнению с 1-ми сутками лечения. В процентном отношении разница составила в 1-й группе 8,6, 3,3 и 5%, а во 2-й группе - 6,4, 2,4 и 4,4% соответственно.
Выявлено, что у больных ВПНТ мужчин с нормальной и избыточной массой тела ОСЖ по сравнению с 1 днем лечения нарастало, повышаясь в 1-й группе на 9,5, 2,6 и 9,5% и на 6,9, 1,8 и 7,8% во 2-й группе соответственно. В динамике ОСЖ в процессе лечения ВПНТ у мужчин с избыточной массой тела прослеживалась тенденция к изменению ее значений обратно пропорционально показателю ОСВ. Схожие изменения ОСЖ и ОСВ выявлены и у больных ВПНТ с нормальной массой тела.
Возникающие на различных сроках лечения изменения КСТ в своем большинстве на момент окончания лечения и выписки из стационара не восстанавливаются полностью до значений показателей КГ. Данный факт важно учитывать при планировании медицинской реабилитации.
В целом, исследование КСТ с помощью биоимпедансометрии для оценки изменения уровня обмена веществ выполняется легче и быстрее, чем определение статуса питания и функционального состояния организма, рассчитываемого по разрозненным показателям [13].
Выводы
У больных ВПНТ мужчин молодого возраста как с избыточной, так и с нормальной массой тела, в отличие от практически здоровых лиц, ОСВ, ОММ+В и ОСЖ в период заболевания существенно изменяются.
На различных сроках лечения ВПНТ прослеживаются статистически достоверные отличия по ОСВ, ОММ+В и ОСЖ, при этом большинство из данных показателей не нормализуются даже к моменту выписки из стационара, что является прямым показанием для прохождения в дальнейшем медицинской реабилитации с целью нормализации КСТ и предупреждения рецидива ВП.
На фоне сохранения относительно постоянной величины ИМТ при ВПНТ происходит изменение соотношения КСТ (снижение ОСВ, ОММ+В и повышение ОСЖ).
При оценке состояния организма и статуса питания у молодых мужчин в ходе лечения ВПНТ показатель ИМТ не является определяющим.
Об авторах
И. Н. Гайворонский
Военно-медицинская академия им. С.М. Кирова
Автор, ответственный за переписку.
Email: xgenom@mail.ru
Россия, Санкт-Петербург
Ю. Ш. Халимов
Военно-медицинская академия им. С.М. Кирова
Email: xgenom@mail.ru
Россия, Санкт-Петербург
И. Г. Пашкова
Петрозаводский государственный университет
Email: xgenom@mail.ru
Россия, Петрозаводск
Список литературы
- Адлер, А.В. Биоимпедансометрия в оценке баланса жидкости организма / А.В. Адлер // Детская хирургия. - 2003. - № 1. - С. 43-47.
- Айзман, Л.К. Функции почек и водно-электролитный обмен при острой пневмонии / Л.К. Айзман, С.М. Гавалов // Всесоюзная конференция по физиологии почек и водно-солевого обмена. - Чернигов, 1985. - С. 7-8.
- Гайворонский, И.Н. Динамика показателей биоимпедансометрии у мужчин молодого возраста с нормальной массой тела при лечении внебольничной пневмонии / И.Н. Гайворонский, Ю.Ш. Халимов, В.Г. Кузьмич // Вестн. Росс. воен.-мед. акад. - 2017. - № 3 (59). - С. 27-30.
- Дворецкий, Л.И. Клинические рекомендации по диагностике и лечению внебольничной пневмонии / Л.И. Дворецкий, М.А. Александрова // Русс. мед. жур. - 2010. - Т. 18, № 9. - С. 522-530.
- Карапетян, Т.А. Внебольничная пневмония сегодня (обзор литературы) / Т.А. Карапетян // Вестн. СПбГУ. - 2008. - № 1. - С. 3-13.
- Керпель-Фрониус, Э. Патология и клиника водно-солевого обмена; пер. с венгер. / Э. Керпель-Фрониус. - Будапешт: изд-во Академии наук Венгрии, 1964. - 777 с. Патофизиология: учебник / П.Ф. Литвицкий. - 4-е изд. - 2009.496 с.
- Николаев, В.Г. Биоимпедансный анализ: основы метода, протокол обследования и интерпретация результатов / Д.В. Николаев, С.Г. Руднев // Спорт. мед.: наука и практика. - 2012. - № 2. - С. 29-36.
- Николаев, В.Г. Очерки интегративной антропологии: монография / В.Г. Николаев [и др.]. - Красноярск: КрасГМУ, 2015. - 326 с.
- Николаев, Д.В. Биоимпедансный анализ состава тела человека / Д.В. Николаев [и др.]. - М.: Наука, 2009. - 390 с.
- Руднев, С.Г. Биоимпедансное исследование состава тела населения России / С.Г. Руднев [и др.]. - М.: РИО ЦНИИО- ИЗ, 2014. - 87 с.
- Руднев, С.Г. Биоимпедансное исследование состава тела больных туберкулезом / С.Г. Руднев [и др.] // Туберкулёз и болезни лёгких. - 2015. - № 93 (9). - С. 33-40.
- Смирнова, Г.А. Интегральная характеристика статуса питания и функционального состояния молодых мужчин / Г.А. Смирнова, А.И. Андриянов // Вестн. Росс. воен.-мед. акад.
- 2015. - № 2 (50). - С. 170-174.
- Торнуев, Ю.В. Диагностические возможности неинвазивной биоимпедансометрии / Ю.В. Торнуев [и др.] // Фундаментальные исследования. - 2014. - № 10-4. - С. 782-788.
- Чучалин, А.Г. Внебольничная пневмония у взрослых: практические рекомендации по диагностике, лечению и профилактике / А.Г. Чучалин [и др.] // Пособие для врачей. Клиническая микробиология антимикробная химиотерапия. - 2010. - Т. 12, № 3. - С. 187-225.
- Lee, S.Y Assessment methods in human body composition /S.Y Lee, D. Gallagher // Current opinion in clinical nutrition and metabolic care. - 2008. - Vol. 11, № 5. - P 566-572.
- Stobaus, N. Determinants of bioelectrical phase angle in disease/ N. Stobaus [et al.] // Br. J. of Nutr. - 2012. - Vol. 107, № 8.
Дополнительные файлы



